Valsts galvenā pārtikas un
veterinārā inspektora rīkojums Nr.312
Rīgā 2003. gada 24. decembrī
Par veselības
sertifikātiem dzīvniekiem un dzīvnieku izcelsmes produktu
eksportam uz Poliju
Sakarā ar to, ka Polijas Galvenais
veterinārais inspektorāts ir informējis Pārtikas un veterināro
dienestu par jaunu veselības sertifikātu formu stāšanos spēkā,
nosaku:
1. Medus eksportam uz Poliju izsniegt pielikumā Nr.1 noteiktās
formas veselības sertifikātu.
2. Svaigas govju, aitu un kazu gaļas, blakusproduktu un no tiem
iegūto priekškuņģu eksportam uz Poliju izsniegt pielikumā Nr.2
noteiktās formas veselības sertifikātu.
3. Zivju, vēžveidīgo, molusku, galvkāju un to produktu eksportam
uz Poliju izsniegt pielikumā Nr.3 noteiktās formas veselības
sertifikātu.
4. Cilvēku uzturā paredzētu olu eksportam uz Poliju izsniegt
pielikumā Nr.4 noteiktās formas veselības sertifikātu.
5. Olu produktu eksportam uz Poliju izsniegt pielikumā Nr.5
noteiktās formas veselības sertifikātu.
6. Cilvēku uzturam paredzētu pārstrādātu dzīvnieku izcelsmes
olbaltumvielu eksportam uz Poliju izsniegt pielikumā Nr.6
noteiktās formas veselības sertifikātu.
7. Svaigas govju, aitu, kazu un zirga gaļas, kas nav paredzēta
cilvēku uzturam eksportam uz Poliju izsniegt pielikumā Nr.7
noteiktās formas veselības sertifikātu.
8. Zivju miltu, t.sk. jūras dzīvnieku, izņemot jūras zīdītāju,
eksportam uz Poliju izsniegt pielikumā Nr.8 noteiktās formas
veselības sertifikātu.
9. Mājas un istabas dzīvnieku konservu, pasterizētas vai sausas
barības eksportam uz Poliju izsniegt pielikumā Nr.9 noteiktās
formas veselības sertifikātu.
10. Dzīvnieku barības koncentrātu un pārstrādātas dzīvnieku
izcelsmes olbaltumvielu saturošas barības eksportam uz Poliju
izsniegt pielikumā Nr.10 noteiktās formas veselības
sertifikātu.
11. Dzīvnieku barībai paredzētu pārstrādātas dzīvnieku izcelsmes
olbaltumvielu eksportam uz Poliju izsniegt pielikumā Nr.11
noteiktās formas veselības sertifikātu.
12. Dzīvnieku barības koncentrātu un pārstrādātas dzīvnieku
izcelsmes olbaltumvielas saturošas barības, kas iegūta no zivīm,
izņemot jūras zīdītājus, eksportam uz Poliju izsniegt pielikumā
Nr.12 noteiktās formas veselības sertifikātu.
13. Svaigas cūkgaļas un blakusproduktu eksportam uz Poliju
izsniegt pielikumā Nr.13 noteiktās formas veselības
sertifikātu.
14. Zirgu, liellopu, aitu, kazu, cūku(1) ādu eksportam
uz Poliju izsniegt pielikumā Nr.14 noteiktās formas veselības
sertifikātu.
15. Kaušanai paredzētu aitu/kazu eksportam uz Poliju izsniegt
pielikumā Nr.15 noteiktās formas veselības sertifikātu.
16. Audzēšanai paredzētu mājputnu, izņemot skrējējputnu,
eksportam uz Poliju izsniegt pielikumā Nr.16 noteiktās formas
veselības sertifikātu.
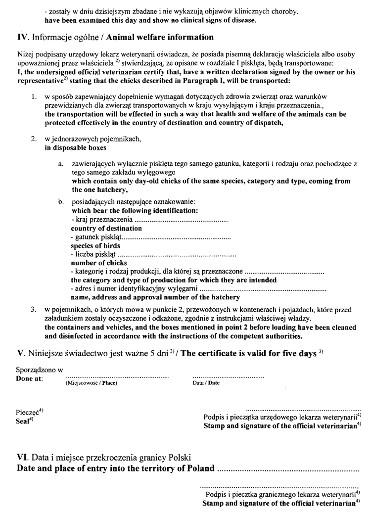
17. Diennakti vecu mājputnu, izņemot skrējējputnu, eksportam uz
Poliju izsniegt pielikumā Nr.17 noteiktās formas veselības
sertifikātu.
18. Mājputnu inkubācijas olu, izņemot skrējējputnu, eksportam uz
Poliju izsniegt pielikumā Nr.18 noteiktās formas veselības
sertifikātu.
19. Kaušanai paredzētu mājputnu, izņemot skrējējputnu, eksportam
uz Poliju izsniegt pielikumā Nr.19 noteiktās formas veselības
sertifikātu.
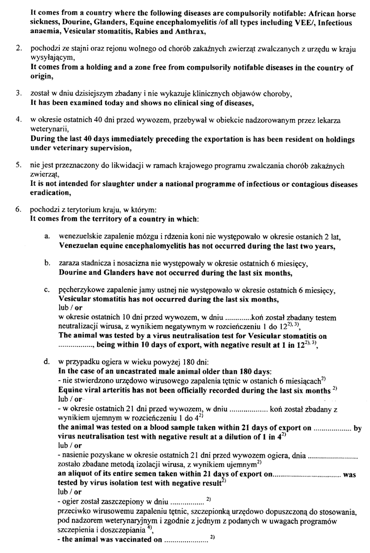
20. Reģistrētu zirgu pagaidu ievešanai Polijā uz laiku ne ilgāku
par 90 dienām izsniegt pielikumā Nr.20 noteiktās formas veselības
sertifikātu.
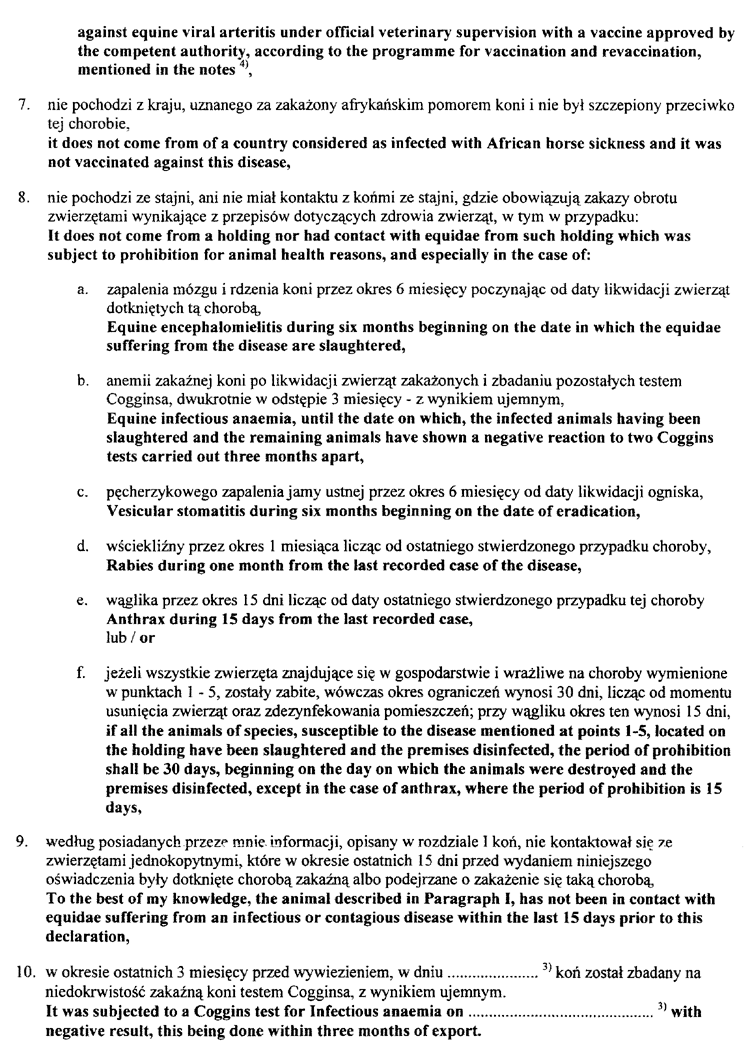
21. Kaušanai paredzētu zirgu eksportam uz Poliju izsniegt
pielikumā Nr.21 noteiktās formas veselības sertifikātu.
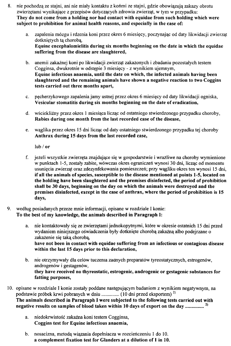
22. Audzēšanai paredzētu reģistrētu zirgu eksportam uz Poliju
izsniegt pielikumā Nr.22 noteiktās formas veselības
sertifikātu.
23. Suņu un kaķu eksportam uz Poliju izsniegt pielikumā Nr.23
noteiktās formas veselības sertifikātu.
24. Svaigas putnu gaļas un ķidu eksportam uz Poliju izsniegt
pielikumā Nr.24 noteiktās formas veselības sertifikātu.
25. Audzēšanai paredzētu cūku eksportam uz Poliju izsniegt
pielikumā Nr.25 noteiktās formas veselības sertifikātu.
26. Audzēšanai paredzētu liellopu eksportam uz Poliju izsniegt
pielikumā Nr.26 noteiktās formas veselības sertifikātu.
27. Cilvēku uzturā paredzēta cūku-liellopu želatīna eksportam uz
Poliju izsniegt pielikumā Nr.27 noteiktās formas veselības
sertifikātu.
28. Cilvēku uzturā paredzēta liellopu želatīna, kas iegūts no
liellopu ādām, eksportam uz Poliju izsniegt pielikumā Nr.28
noteiktās formas veselības sertifikātu.
29. Cilvēku uzturā paredzēta cūku želatīna eksportam uz Poliju
izsniegt pielikumā Nr.29 noteiktās formas veselības
sertifikātu.
30. Spalvu un dūnu importam Polijā izsniegt pielikumā Nr.30
noteiktās formas veselības sertifikātu.
31. Aitu vilnas eksportam uz Poliju izsniegt pielikumā Nr.31
noteiktās formas veselības sertifikātu.
32. Putnu un nagaiņu medību trofeju (kaulu, ragu, nagu, brieža
ragu, zobu, ādu vai kažokādu) eksportam uz Poliju izsniegt
pielikumā Nr.32 noteiktās formas veselības sertifikātu.
33. Gaļas produktu, vītinātas gaļas, gaļas ekstraktu, gaļas
ēdienu un granulētas gaļas eksportam uz Poliju izsniegt pielikumā
Nr.33 noteiktās formas veselības sertifikātu.
34. Dzīvnieku zarnu eksportam uz Poliju izsniegt pielikumā Nr.34
noteiktās formas veselības sertifikātu.
35. Cilvēku uzturā paredzēta termiski apstrādāta piena un
termiski apstrādāta piena produktu eksportam uz Poliju izsniegt
pielikumā Nr.35 noteiktās formas veselības sertifikātu.
36. Cilvēku uzturā paredzēta nepasterizēta piena eksportam uz
Poliju izsniegt pielikumā Nr.36 noteiktās formas veselības
sertifikātu.
37. Cilvēku uzturā neizmantojama termiski apstrādāta piena, piena
produktu, kas ražoti no termiski apstrādāta piena, vai termiski
apstrādātu piena produktu eksportam uz Poliju izsniegt pielikumā
Nr.37 noteiktās formas veselības sertifikātu.
38. Cilvēku uzturā paredzētu dzīvnieku tauku/kausētu tauku
eksportam uz Poliju izsniegt pielikumā Nr.38 noteiktās formas
veselības sertifikātu.
39. Atcelt Valsts veterinārā dienesta 2000. gada 31. maija
rīkojumu Nr.53.
40. Atcelt Valsts veterinārā dienesta 2000. gada 7. novembra
rīkojumu Nr.126.
41. Atcelt Pārtikas un veterinārā dienesta 2002. gada 1.
septembra rīkojumu Nr.8.
42. Atcelt Pārtikas un veterinārā dienesta 2002. gada 15. maija
rīkojumu Nr.199.
43. Rīkojumu publicēt laikrakstā "Latvijas Vēstnesis".
44. Rīkojums stājas spēkā ar parakstīšanas brīdi.
45. Kontroli pār rīkojuma izpildi uzdodu:
45.1. Pārtikas uzraudzības departamenta direktoram
E.Zavadskim;
45.2. Veterinārās uzraudzības departamenta direktoram
M.Samohvalovam;
45.3. Sanitārās robežinspekcijas priekšniecei I.Šicei-Trēdei.
Valsts galvenais pārtikas un
veterinārais inspektors V.Veldre
Pielikums Nr.1

Pielikums Nr.2



Pielikums Nr.3



Pielikums Nr.4


Pielikums Nr.5



Pielikums Nr.6



Pielikums Nr.7



Pielikums Nr.8



Pielikums Nr.9




Pielikums Nr.10



Pielikums Nr.11



Pielikums Nr.12


Pielikums Nr.13



Pielikums Nr.14



Pielikums Nr.15



Pielikums Nr.16




Pielikums Nr.17




Pielikums Nr.18



Pielikums Nr.19



Pielikums Nr.20






Pielikums Nr.21





Pielikums Nr.22





Pielikums Nr.23


Pielikums Nr.24



Pielikums Nr.25



Pielikums Nr.26


Pielikums Nr.27



Pielikums Nr.28


Pielikums Nr.29


Pielikums Nr.30

Pielikums Nr.31

Pielikums Nr.32


Pielikums Nr.33




Pielikums Nr.34



Pielikums Nr.35




Pielikums Nr.36




Pielikums Nr.37



Pielikums Nr.38


