Ministru kabineta rīkojums
Nr.185
Rīgā 2002.gada 10.aprīlī (prot.
Nr.15, 5.§)
Par Latvijas
Republikas un Lietuvas Republikas valsts robežas redemarkācijas
dokumentu apstiprināšanu
1. Apstiprināt Latvijas Republikas
un Lietuvas Republikas valsts robežas karti un tai pievienoto
valsts robežas aprakstu (turpmāk - redemarkācijas dokumenti).
2. Ārlietu ministrijai paziņot
Lietuvas Republikai par redemarkācijas dokumentu
apstiprināšanu.
Ministru prezidents
A.Bērziņš
Ārlietu ministrs
I.Bērziņš
Apstiprināts
ar Ministru kabineta
2002.gada 10.aprīļa
rīkojumu Nr.185
Valsts robežas starp
Latvijas Republiku un Lietuvas Republiku redemarkācija
2000
Valsts robežas
apraksts
Valsts robežas Valsts robežas
starp Latvijas Republiku un
Lietuvas Republiku starp Lietuvas Republiku un Latvijas
Republiku
atjaunošanas Jauktās komisijas
atjaunošanas Jauktās komisijas priekšsēdētājs I.Upmacis
priekšsēdētājs Z.Kumetaitis
Locekļi: J.Virsis
Locekļi: Z.Derela
U.Zakars A.Griška
Saturs
1. Ievads
2. Valsts robežas apraksts
3. Valsts robežas posmu garumu
kopsavilkuma tabula
Pielikumi:
1. Valsts robežas līnijas
sarežģīto posmu shēmas
2. Valsts robežas līnijas
pagriezienu punktu izvietojuma ezeros un ūdenskrātuvēs shēmas
3. Latvijas Republikas un Lietuvas
Republikas valsts robežas ūdensteču un ūdenstilpju salu
piederības saraksts
4. Dzelzsbetona robežzīmes
konstrukcijas rasējums
5. Koka robežzīmes konstrukcijas
rasējums
6. Robežzīmes Nr.0582LV
rasējums
7. Robežzīmes Nr.1029 rasējums
8. Robežzīmes "Ļudvinova"
("Liudvinavas") rasējums
9. Valsts robežas robežzīmju
koordinātu katalogs (atsevišķa grāmata)*
* Šī daļa tehnisku apsvērumu
dēļ laikrakstā netiek publicēta; tā kopā ar pārējiem valsts
robežas redemarkācijas dokumentiem - Latvijas Republikas Ārlietu
ministrijas Arhīvā.
- "Latvijas
Vēstneša" redakcija
Ievads
Valsts robežas
atjaunošanas juridiskais pamats un principi
Valsts robeža (turpmāk - robeža)
starp Latvijas Republiku un Lietuvas Republiku tika noteikta
1921.-1927.gados, pamatojoties uz 1921.gada 14.maijā starp
Latviju un Lietuvu noslēgto Konvenciju.
Robežas apzīmēšanai apvidū
izmantoja 488 koka stabus ar apakšzemes centriem un kupicām,
kurus uzstādīja robežlīnijas un maģistrāļu pagriezienos.
Robežzīmju numerācija sākās no
Baltijas jūras.
Robežzīmēm tika noteiktas
ģeogrāfiskās koordinātas (j, L) un plaknes koordinātas Zoldnera
sistēmā.
Robežas apraksts bija sastādīts uz
614 lappusēm latviešu un lietuviešu valodā, bet robežas karte
izgatavota mērogā 1:10000 uz 111 lapām.
Robežas redemarkācija ir veikta,
pamatojoties uz 1993.gada 29.jūnijā Biržu pilsētā noslēgto
"Līgumu par valsts robežas atjaunošanu starp Latvijas Republiku
un Lietuvas Republiku", 1994.gada valsts robežas redelimitācijas
dokumentiem, 1994.gada 17.maijā apstiprināto "Instrukciju par
valsts robežas redemarkāciju starp Latvijas Republiku un Lietuvas
Republiku", valsts robežas starp Latvijas Republiku un Lietuvas
Republiku atjaunošanas Jauktās komisijas lēmumiem un citām
instrukcijām.
Robeža starp Latviju un Lietuvu ir
atjaunota pēc stāvokļa uz 1940.gada 15.jūniju.
Robeža, kuru nenosaka 1921.gada
14.maijā starp Latviju un Lietuvu noslēgtā Konvencija un
1930.gada 30.jūnija abu valstu Deklarācija par valstu robežas
galīgu noteikšanu, atjaunota pa administratīvo robežu pēc
stāvokļa uz 1991.gada 17. septembri - dienu, kurā Latvijas
Republika un Lietuvas Republika uzņemtas Apvienoto Nāciju
Organizācijā.
Robeža atjaunota no sākumpunkta
Baltijas jūras krastā līdz Latvijas Republikas, Lietuvas
Republikas un Baltkrievijas Republikas valstu robežu saskares
punktam "Ļudvinova" ("Liudvinavas").
Atjaunošanas darbi tika veikti
laika posmā no 1993.gada līdz 2000.gadam. Robežas redemarkāciju
no Baltijas jūras līdz 24° meridiānam (apvidū - Bērsteles
(Beržtalis) upe) izpildīja Lietuvas Republika, bet no 24°
meridiāna līdz robežu saskares punktam "Ļudvinova"
("Liudvinavas") - Latvijas Republika.
Robežzīmes un robežas
līnija
Robeža ir nostiprināta apvidū ar
1806 robežzīmēm, tanī skaitā:
ar 538 divpusējām robežzīmēm ar
abu valstu simboliku un uzstādītām uz robežas līnijas un
ar 1268 vienpusējām robežzīmēm ar
vienas valsts simboliku un uzstādītām pēc kārtas abos robežas
grāvju, strautu, upju, ezeru, ūdenskrātuvju krastos.
Robežzīme sastāv no četrkantīga
3,0 m gara dzelzsbetona staba ar šķērsgriezumu 18x22cm, kurš
iebetonēts 1 m dziļi zemē ieraktā betona pamatu blokā. Staba
virszemes daļas garums 2,0 m. Stabs ir nokrāsots baltā krāsā, tam
piestiprinātas emaljētas plāksnītes ar valstu ģerboņu attēliem un
staba numuru, uzkrāsotas valstu karogu krāsu joslas. Robežzīmju
konstrukcija un noformējums parādīts 4.pielikumā.
15 gadījumos, kur dzelzsbetona
stabu piegāde un uzstādīšana apgrūtināta, uzstādīti tāda paša
izmēra un ārējā noformējuma koka stabi (Nr.0463LV, 1179LT,
1181LT, 1249, 1255, 1263, 1264, 1280, 1505LT, 1505LV, 1525LT,
1526LV, 1540LT, 1541LV, 1566) un nostiprināti gruntī ar koka
šķēršu palīdzību (5.pielikums).
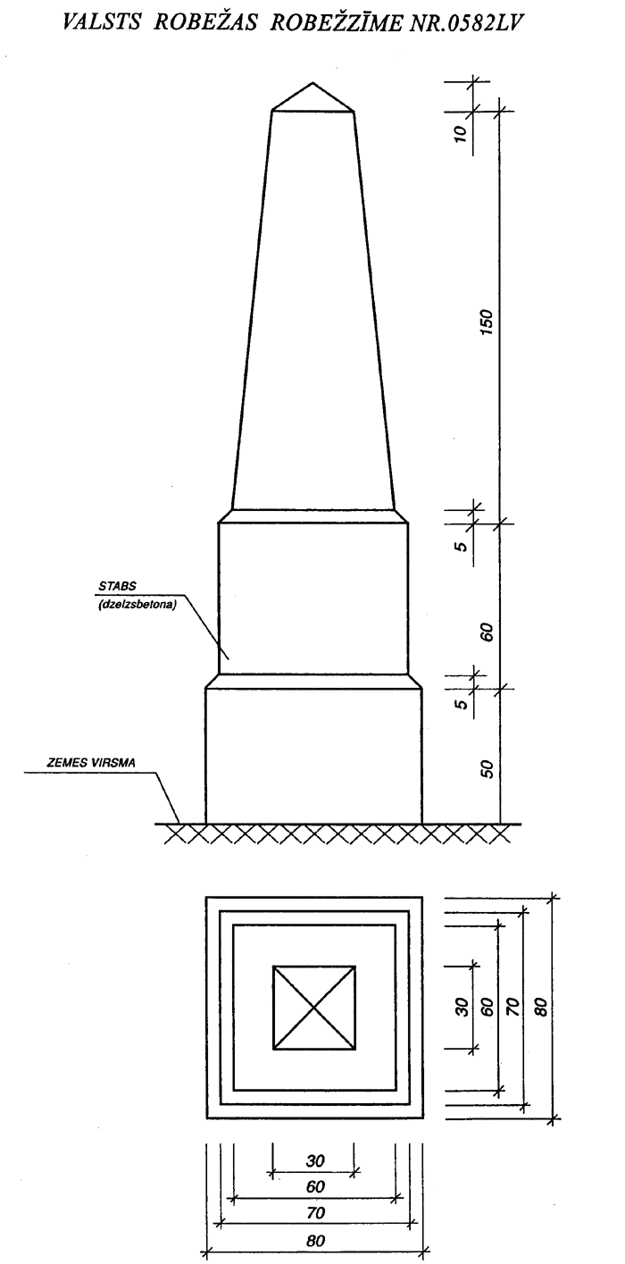
Par robežzīmi Nr.0582 LV izmantots
1927.gadā uzstādītais Latvijas -Lietuvas valsts robežas
dzelzsbetona stabs (6.pielikums).
Ņemot vērā naftas vada
ekspluatācijas drošību, robežzīme Nr.1029 izveidota kā speciāla
konstrukcija no 3 stabiem: viena centra stabiņa, kurš uzstādīts
uz robežas līnijas, un diviem vienpusējiem robežstabiem,
izvietotiem vienam pret otru abās pusēs valsts robežai, 5m
attālumā no tās (7.pielikums).
Latvijas Republikas, Lietuvas
Republikas un Baltkrievijas Republikas valstu robežu saskares
punkts "Ļudvinova" ("Liudvinavas") ir apzīmēts apvidū ar speciālu
robežzīmi, kuras konstrukciju un formu saskaņojušas šīs
valstis.
Robežzīmēm air piešķirti numuri no
Nr.0001 Baltijas jūras krastā līdz Nr.1570 pie triju valstu
robežu saskares punkta "Ļudvinova" ("Liudvinavas"). Ar vienādiem
numuriem ir apzīmētas tās vienpusējās robežzīmes, kuras
uzstādītas viena pret otru robežas grāvju, strautu, upju, ezeru,
ūdenskrātuvju krastos. Atsevišķos gadījumos robežzīmju numuriem
pievienoti burtu indeksi "A", "B", "C".
Robežzīmes koordinētas, izmantojot
GPS metodes un citus ģeodēziskās uzmērīšanas paņēmienus.
Maksimāla koordinātu noteikšanas kļūda attiecībā pret GPS tīklu -
0,30 m.
Vietās, kur robeža iet pa krūmāju
vai mežu, ir izcirsta 10 m plata stiga (5 m uz katru pusi no
robežas līnijas). Robežas josla attīrīta gar robežgrāvjiem,
daļēji gar mazajām upēm Lietuvas Republikas teritorijā, bet gar
lielo robežupju krastiem stigas nav cirstas.
Pa sauszemes robežas posmiem ir
izrakti jauni vai atjaunoti vecie robežgrāvji.
Robežas kopējais garums sastāda
588,1 km, tai skaitā:
pa sauszemes līnijām 159,9 km,
pa ūdenstecēm un ūdenstilpēm 428,2
km.
Sīkāki dati doti valsts robežas
posmu garumu kopsavilkuma tabulā.
Robežas karte
Latvijas Republikas un Lietuvas
Republikas valsts robežas karti mērogā 1:10000 uz ortofotoplānu
pamata pēc 1995.-1997. gada aerofotografēšanas materiāliem
sastādījuši Latvijas Republikas Valsts zemes dienesta
Kartogrāfijas pārvalde un Lietuvas Republikas SAS "Aeroģeodēzijas
institūts". Kā palīgmateriāls izmantota valsts robežas starp
Latvijas Republiku un Lietuvas Republiku 1992. gadā izdotā
redemilitācijas karte mērogā 1:10000.
Karte sastādīta Merkatora
šķērseniskajā projekcijā, kura aprēķināta pēc elipsoīda GRS - 80
parametriem. Ass meridiānam ir 24° garums. Taisnleņķa koordinātu
sākumpunkts savietots ar ass meridiānu (24°) un ekvatora
krustpunktu, kuram pieņemta vērtība X=0 km, Y=500 km.
Kartes lapu rāmji savietoti ar
taisnleņķa koordinātu tīkla līnijām. Katra kartes lapa ietver
teritoriju 5x5 km, tās iekšējā rāmja izmēri ir 50x50 cm.
Kartes lapu sadalījums nodrošina
valsts robežas līnijas un robežai piegulošā apvidus optimālu
attēlošanu.
Visās kartes lapās attēloti
taisnleņķa koordinātu tīkli ar piesaistītām skaitliskām vērtībām
divās koordinātu sistēmās: 1992. gada un Latvijas koordinātu
sistēmā (LKS - 92) - sarkanā krāsā un 1994. gada Lietuvas
koordinātu sistēmā (LKS - 94) - zaļā krāsā. Katras sistēmas tīklu
līnijas novilktas ik pēc 10 cm (1 km apvidū). Uz kartes lapu
rāmjiem parādītas meridiānu un paralēļu līniju izejas ik pēc 1'.
Garums noteikts, skaitot no Grinvičas.
Kartē attēlotas robežzīmes,
robežas līnija un galvenie apvidus elementi robežai piegulošā 1
km platā joslā uz abām pusēm no robežas līnijas. Robežzīmes kartē
attēlotas pēc koordinātām.
Valsts robežas līnija pa upēm
parādīta pa upes vidu, ievērojot salu teritoriālo piederību.
Valsts robežas līnija pa ezeru un ūdenskrātuvju akvatorijām
parādīta saskaņā ar valsts robežas starp Latvijas Republiku un
Lietuvas Republiku atjaunošanas Jauktās komisijas apstiprinātām
valsts robežas līnijas un tās pagriezienu punktu izvietojuma
ezeros un ūdenskrātuvēs shēmām.
Robežas kartes komplekts sastāv no
110 atsevišķām lapām. Lapu numerācija sākas no Baltijas jūras (1.
lapa) un beidzas pie Latvijas Republikas, Lietuvas Republikas un
Baltkrievijas Republikas valstu robežu saskares punkta
"Ļudvinova" ("Liudvinavas") (110. lapa).
Robežas karte izdota 4 identiskos
eksemplāros, pa 2 alternātu eksemplāriem latviešu un lietuviešu
valodā, kurus parakstījuši visi Jauktās komisijas locekļi.
Robežas
apraksts
Robežas apraksts sastādīts,
pamatojoties uz:
"Latvijas Republikas un Lietuvas
Republikas redelimitētās valsts robežas aprakstu", 1994.
gads;
valsts robežas karti;
valsts robežas robežzīmju
koordinātu katalogu;
valsts robežas robežzīmju
abrisiem.
Robežas aprakstā lietoti šādi
saīsinājumi: GPS - globālās pozicionēšanas sistēma; Rz -
robežzīme; LV - Latvijas Republika; LT - Lietuvas Republika;
robeža - valsts robeža.
Pieraksts "LV" vai "LT" aprakstā
pie robežzīmes numura norāda valsti, kuras teritorijā zīme
uzstādīta, bet pieraksts "LV, LT", ka ar vienu numuru apzīmētas
divas robežzīmes - viena Latvijas teritorijā, otra Lietuvas
teritorijā.
Robežas līnijas atsevišķu posmu
garumi aprakstā (4. aile) doti bez projekcijas sagrozījumiem:
sauszemes posmiem ar noteiktību -
0,01 m,
posmiem pa ūdenstecēm un
ūdenstilpēm ar noteiktību - 0,1 m.
Robežzīmju ģeodēziskās koordinātas
(B, L) dotas atbilstīgi zemes elipsoīda GRS - 80 parametriem.
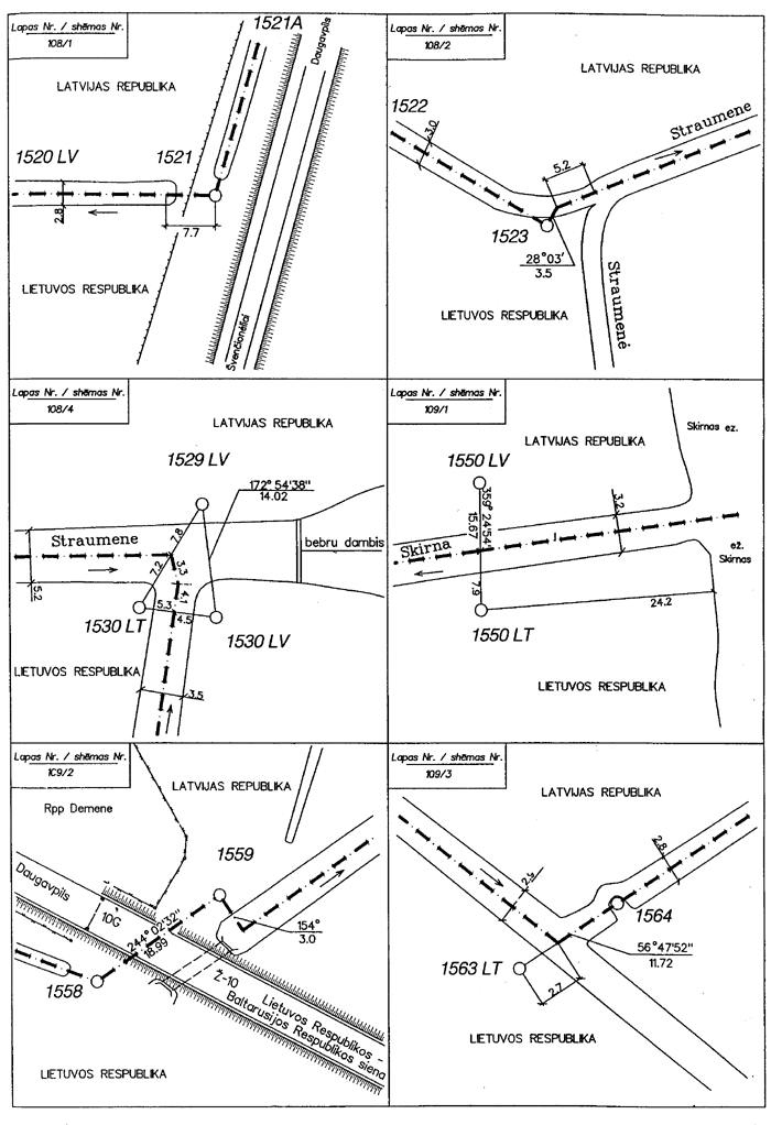
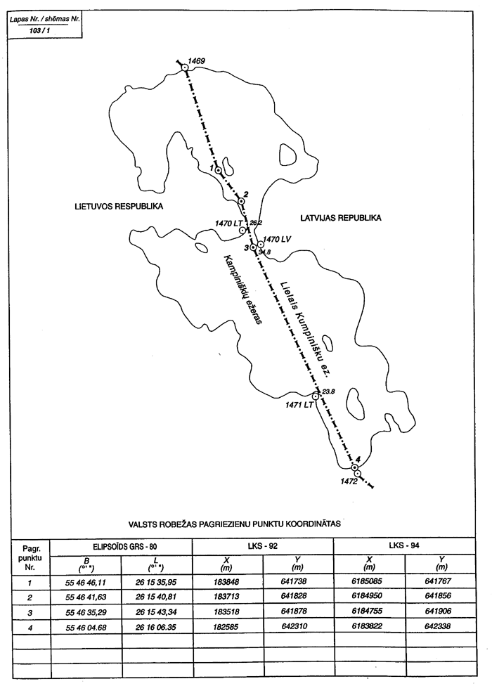
Valsts robežas līnijas posmiem ar
sarežģītu konfigurāciju un pa ūdenstilpēm ir sastādītas shēmas
(1. un 2. pielikums). Ūdensteču un ūdenstilpju pa valsts robežu
salu piederība parādīta sarakstā (3. pielikums).
Robežu apraksts izdots 2
eksemplāros latviešu valodā un 2 eksemplāros lietuviešu valodā,
abi teksti ir autentiski.


















































































































































































































































