Ādažu novada pašvaldības domes saistošie
noteikumi Nr. 7/2026
Ādažos 2026. gada 26. martā
Grozījumi Ādažu
novada pašvaldības domes 2026. gada 29. janvāra
saistošajos noteikumos Nr. 1/2026 "Par Ādažu novada
pašvaldības budžetu 2026. gadam"
APSTIPRINĀTI
ar Ādažu novada pašvaldības domes
2026. gada 26. marta sēdes lēmumu (prot. Nr. 6 § 36)
Izdoti saskaņā ar
Pašvaldību likuma 10. panta pirmās daļas 1. punktu
un 48. pantu, likuma "Par pašvaldību budžetiem" 16. un
17. pantu
un likuma "Par budžetu un finanšu vadību" 6. pantu
Izdarīt Ādažu novada pašvaldības domes 2026.gada 29. janvāra
saistošajos noteikumos Nr. 1/2026 "Par Ādažu novada
pašvaldības budžetu 2026. gadam" šādus grozījumus:
1. Izteikt noteikumu 2. punkta 2.3., 2.3.1., 2.3.2., 2.3.3. un
2.3.4. apakšpunktus šādā redakcijā:
2.3. "pamatbudžets 2026. gadā (1. pielikums):
2.3.1. ieņēmumi - EUR 67 519 371;
2.3.2. izdevumi - EUR 82 526 605;
2.3.3. plānotie aizņēmumi - EUR 10 307 001;
2.3.4. atmaksājamā summa Valsts kases kredītiem (2. pielikums)
- EUR 3 907 497".
Ādažu novada pašvaldības domes
priekšsēdētāja vietnieks attīstības jautājumos G.
Miglāns
1. pielikums
Ādažu novada pašvaldības domes 2026. gada 26. marta saistošajiem
noteikumiem
Nr. 7/2026 "Grozījumi Ādažu novada pašvaldības domes 2026.
gada 29. janvāra
saistošajos noteikumos Nr. 1/2026 "Par Ādažu novada
pašvaldības budžetu 2026. gadam""
Pamatbudžets
2026. gadam
IEŅĒMUMU
DAĻA
|
Klasifikācijas kods
|
Nr.p.k. |
Sadaļa
|
2026. gada
budžets
|
26.03.2026. grozījumi
|
Izmaiņas
|
|
|
1.-5. |
Nodokļu ieņēmumi |
44 951
568
|
44 951
568
|
|
|
1.1.0.0. |
1. |
Iedzīvotāju ienākuma nodoklis |
41 652
563
|
41 652
563
|
|
| |
1.1. |
pārskata gada |
41 652 563
|
41 652 563
|
|
| |
2.-4. |
Nekustamā īpašuma nodokļu ieņēmumi |
3 224
005
|
3 224
005
|
|
|
4.1.1.0. |
2. |
Nekustamā īpašuma nodoklis par zemi |
2 046
793
|
2 046
793
|
|
| |
2.1. |
pārskata gada |
1 945 591
|
1 945 591
|
|
| |
2.2. |
iepriekšējo gadu parādi |
101 202
|
101 202
|
|
|
4.1.2.0. |
3. |
Nekustamā īpašuma nodoklis par ēkām |
446 928
|
446 928
|
|
| |
3.1. |
pārskata gada |
392 304
|
392 304
|
|
| |
3.2. |
iepriekšējo gadu parādi |
54 624
|
54 624
|
|
|
4.1.3.0. |
4. |
Nekustamā īpašuma nodoklis par mājokļiem un
inženierbūvēm |
730 284
|
730 284
|
|
| |
4.1. |
pārskata gada |
670 099
|
670 099
|
|
| |
4.2. |
iepriekšējo gadu parādi |
60 185
|
60 185
|
|
|
5.5.3.0. |
5. |
Nodokļi un maksājumi par tiesībām lietot atsevišķas
preces |
75 000
|
75 000
|
|
| |
5.1. |
Azartspēļu nodoklis |
5 000
|
5 000
|
|
|
|
5.2. |
Dabas resursu nodoklis |
70 000
|
70 000
|
|
|
9.0.0.0. |
6. |
Valsts (pašvaldību) un kancelejas nodevas |
144 300
|
144 300
|
|
| |
6.1. |
valsts nodevas |
6 100
|
6 100
|
|
| |
6.1.1. |
t.sk.: - par apliecinājumiem
un citu funkciju pildīšanu bāriņtiesā |
1 100
|
1 100
|
|
| |
6.1.2. |
t.sk.: - par civilstāvokļa
aktu reģistrēšanu, grozīšanu un papildināšanu |
4 500
|
4 500
|
|
| |
6.1.3. |
t.sk.: - pārējās valsts
nodevas, kuras ieskaita pašvaldību budžetā |
500
|
500
|
|
| |
6.2. |
pašvaldību nodevas |
138 200
|
138 200
|
|
| |
6.2.1. |
t.sk.: - nodeva par domes
izstrādāto oficiālo dokumentu saņemšanu |
100
|
100
|
|
| |
6.2.2. |
t.sk.: - nodeva par
izklaidējoša rakstura pasākumu sarīkošanu publiskās
vietās |
4 300
|
4 300
|
|
| |
6.2.3. |
t.sk.: - nodeva par
tirdzniecību publiskās vietās |
37 000
|
37 000
|
|
| |
6.2.4. |
t.sk.: - nodeva par reklāmas,
afišu un sludinājumu izvietošanu publiskās vietās |
22 000
|
22 000
|
|
| |
6.2.5. |
t.sk.: - nodeva par
būvatļaujas saņemšanu |
70 000
|
70 000
|
|
| |
6.2.6. |
t.sk.: - pārējās nodevas |
4 800
|
4 800
|
|
|
10.0.0.0. |
7. |
Naudas sodi un sankcijas |
130 000
|
130 000
|
|
| |
7.1. |
Naudas sodi un sankcijas |
90 000
|
90 000
|
|
| |
7.2. |
Naudas sodi par pārkāpumiem
ceļu satiksmē |
40 000
|
40 000
|
|
|
12.0.0.0. |
8. |
Pārējie nenodokļu ieņēmumi |
38 728
|
38 728
|
|
| |
8.1. |
citi nenodokļu ieņēmumi |
28 728
|
28 728
|
|
| |
8.2. |
ieņēmumi no zvejas tiesību
nomas |
10 000
|
10 000
|
|
|
13.0.0.0. |
9. |
Ieņēmumi no pašvaldības īpašumu pārdošana |
-
|
-
|
|
|
18.6.0.0. |
10. |
Valsts budžeta transferti un projektu finansējums |
21 107
234
|
21 152
808
|
45 574
|
|
|
10.1. |
Valsts budžeta
transferti |
10 832 171
|
10 832 211
|
40
|
| |
10.1.1. |
dotācija mākslas skolas
algām |
849 067
|
849 067
|
|
| |
10.1.2. |
dotācija sporta skolai |
339 462
|
339 462
|
|
| |
10.1.3. |
dotācija skolēnu
ēdināšanai |
388 794
|
388 794
|
|
| |
10.1.4. |
dotācijas pedagogu algām
(vsk., PII) |
7 742 323
|
7 742 323
|
|
| |
10.1.4.1. |
t.sk.: - piecgadīgo bērnu
apmācība |
997 247
|
997 247
|
|
| |
10.1.4.2. |
t.sk.: - skolotāju algām |
6 172 209
|
6 172 209
|
|
| |
10.1.4.3. |
t.sk.: - interešu
izglītība |
572 867
|
572 867
|
|
| |
10.1.5. |
dotācija māksliniecisko
kolektīvu vadītāju atalgojumam |
26 226
|
26 226
|
|
| |
10.1.6. |
Projekts "Skolas
soma" Ādaži |
42 000
|
42 080
|
80
|
| |
10.1.7. |
Projekts "Skolas
soma" Carnikava |
15 980
|
15 940
|
-40
|
| |
10.1.8. |
dotācija asistenta
pakalpojumu nodrošināšanai |
642 000
|
642 000
|
|
| |
10.1.9. |
valsts dotācija ceļu
uzturēšanai |
401 002
|
401 002
|
|
| |
10.1.10. |
dotācijas Ukrainas pilsoņu
atbalstam |
52 500
|
52 500
|
|
| |
10.1.11. |
dotācijas nodarbinātības
pasākumiem |
5 000
|
5 000
|
|
| |
10.1.12. |
pārējās dotācijas |
327 817
|
327 817
|
|
| 18.6.3.0. |
10.2. |
ES struktūrfondu līdzekļi un
aktivitāšu līdzfinansējumi |
9 327 908
|
9 373 442
|
45 534
|
| |
10.2.1. |
Projekts
"Infrastruktūras uzlabošana uzņēmējdarbības attīstībai
Ādažos" |
918 723
|
918 723
|
|
| |
10.2.2. |
Publiskās ārtelpas izveide
Gaujas ielā 31 Ādažos |
357 424
|
357 424
|
|
| |
10.2.3. |
ES Kohēzijas fonda projekts
"STEM un pilsoniskās līdzdalības norises plašākai
izglītības pieredzei un karjeras izvēlei" |
7 315
|
7 315
|
|
| |
10.2.4. |
Pedagogu profesionālā
atbalsta sistēmas izveide |
60 717
|
106 251
|
45 534
|
| |
10.2.5. |
SAM 9.2.4.2. projekts
"Pasākumi vietējās sabiedrības veselības veicināšanai
Ādažu novadā" |
9 799
|
9 799
|
|
| |
10.2.6. |
Krastupes ielas projekts |
971 940
|
971 940
|
|
| |
10.2.7. |
Jaunas pirmsskolas izglītības
iestādes Podniekos būvniecība |
1 403 714
|
1 403 714
|
|
| |
10.2.8. |
Projekts "Izglītības
iestāžu nodrošinājums pilnveidotā vispārējās izglītības
satura kvalitatīvai ieviešanai Ādažu novadā" |
529 141
|
529 141
|
|
| |
10.2.9. |
Projekts "Digitālā darba
ar jaunatni sistēmas attīstība pašvaldībās" |
714
|
714
|
|
| |
10.2.10. |
"Mobilitātes punkta
infrastruktūras izveidošana Rīgas metropoles areālā -
"Carnikava"" |
345 549
|
345 549
|
|
| |
10.2.11. |
Maģistrālā veloceļa izbūve
Rīga-Carnikava |
3 050 102
|
3 050 102
|
|
| |
10.2.12. |
LEADER projektu
realizācija |
49 416
|
49 416
|
|
| |
10.2.13. |
"Upesceļi
II/Ūdenstūrisma pieejamības veicināšana
(RiverwaysII/Facilitating access to watertourism
activities)". |
36 495
|
36 495
|
|
| |
10.2.14. |
Projekts "Bioloģiskās
daudzveidības saglabāšana un antropogēnās slodzes mazināšana
Natura2000 teritorijās Ādažu novadā" |
768 795
|
768 795
|
|
| |
10.2.15. |
Multimodāls sabiedriskā
transporta tīkls, 2. kārta" |
309 907
|
309 907
|
|
| |
10.2.16. |
Patvertņu pielāgošana un
aprīkošana civiliem aizsardzības mērķiem |
97 353
|
97 353
|
|
| |
10.2.17. |
Šķiroto atkritumu savākšanas
laukums Laivu ielā 12, Carnikavā |
140 804
|
140 804
|
|
| |
10.2.18. |
Laveru sūkņu stacijas
pārbūve |
270 000
|
270 000
|
|
| |
10.3. |
IIN budžeta dotācija |
947 155
|
947 155
|
|
|
19.2.0.0. |
11. |
Pašvaldību budžeta transferti |
355 000
|
355 000
|
|
| |
11.1. |
no citām pašvaldībām
izglītības funkciju nodrošināšanai |
355 000
|
355 000
|
|
|
21.0.0.0. |
12. |
Budžeta iestāžu ieņēmumi |
733 037
|
746 967
|
13 930
|
| |
12.1. |
maksa par izglītības
pakalpojumiem |
175 118
|
175 118
|
|
| |
12.1.1. |
ieņēmumi no vecāku maksām
(PII) |
12 318
|
12 318
|
|
| |
12.1.2. |
ieņēmumi no vecāku maksām
(ĀNMS, BJSS) |
162 800
|
162 800
|
|
| |
12.2. |
pārrobežu projektu
ieņēmumi |
17 472
|
17 472
|
|
| |
12.2.1. |
ERASMUS + projekti |
17 472
|
17 472
|
|
| |
12.3. |
ieņēmumi par nomu un īri |
339 912
|
339 912
|
|
| |
12.3.1. |
ieņēmumi par telpu nomu |
236 912
|
236 912
|
|
| |
12.3.2. |
ieņēmumi par zemes nomu |
103 000
|
103 000
|
|
| |
12.4. |
budžeta iestāžu maksas
pakalpojumi |
110 535
|
110 535
|
|
| |
12.4.1. |
budžeta iestāžu maksas
pakalpojumi |
108 535
|
108 535
|
|
| |
12.4.2. |
ieņēmumi no biļešu
realizācijas |
2 000
|
2 000
|
|
| |
12.5. |
pārējie ieņēmumi/stāvvietu
ieņēmumi |
90 000
|
103 930
|
13 930
|
|
|
|
KOPĀ
IEŅĒMUMI:
|
67 459
867
|
67 519
371
|
59 504
|
|
F21010000 AS |
13. |
Naudas līdzekļu atlikums gada sākumā |
8 710
284
|
8 711
325
|
1 041
|
| |
13.1. |
Naudas atlikums iezīmētiem
mērķiem |
2 007 294
|
2 007 294
|
|
| |
13.2. |
Naudas atlikums pašvaldības
līdzekļi |
6 702 990
|
6 704 031
|
1 041
|
|
F40020010 |
14. |
Valsts Kases kredīti |
10 307
001
|
10 307
001
|
|
|
|
14.1. |
Jaunas pirmsskolas izglītības
iestādes Podniekos būvniecība |
7 506 469
|
7 506 469
|
|
| |
14.2. |
Ādažu vidusskolas D korpusa
siltināšana |
49 699
|
49 699
|
|
| |
14.3. |
Dzirnupes ielas tilta pārbūve
I kārta |
479 480
|
479 480
|
|
| |
14.4. |
Projekts
"Infrastruktūras uzlabošana uzņēmējdarbības attīstībai
Ādažos" |
240 428
|
240 428
|
|
| |
14.5. |
Krastupes ielas projekts |
1 153 191
|
1 153 191
|
|
| |
14.6. |
"Mobilitātes punkta
infrastruktūras izveidošana Rīgas metropoles areālā -
"Carnikava"" |
8 588
|
8 588
|
|
| |
14.7. |
Maģistrālā veloceļa izbūve
Rīga-Carnikava |
869 146
|
869 146
|
|
|
|
KOPĀ
PIEEJAMAIS FINANSĒJUMS:
|
86 477
152
|
86 537
697
|
60 545
|
IZDEVUMU
DAĻA
|
Klasifikācijas kods
|
Nr.p.k.
|
Sadaļa
|
2026. gada
budžets
|
26.03.2026. grozījumi
|
Izmaiņas
|
|
01.000 |
1. |
Vispārējie valdības dienesti |
12 115
776
|
12 133
954
|
18 178
|
| |
1.1. |
pārvalde |
2 251 986
|
2 270 164
|
18 178
|
| |
1.2. |
deputāti |
339 144
|
339 144
|
|
| |
1.3. |
administratīvā komisija |
43 957
|
43 957
|
|
| |
1.4. |
iepirkumu komisija |
45 157
|
45 157
|
|
| |
1.5. |
vēlēšanu komisija |
99 246
|
99 246
|
|
| |
1.6. |
pārējās komisijas |
16 344
|
16 344
|
|
| |
1.7. |
aizņēmumu procentu
maksājumi |
1 402 431
|
1 402 431
|
|
| |
1.8. |
Iemaksas PFIF |
7 376 681
|
7 376 681
|
|
| |
1.9. |
Informācijas tehnoloģiju
nodaļa, vispārējas nozīmes dienestu darbība un pakalpojumi -
datortīkla uzturēšana |
540 830
|
540 830
|
|
|
03.000 |
2. |
Sabiedriskā kārtība un drošība |
1 223
875
|
1 223
875
|
|
|
04.000 |
3. |
Ekonomiskā darbība |
718 532
|
718 532
|
|
| |
3.1. |
Sabiedriskās attiecības,
laikraksts |
236 187
|
236 187
|
|
| |
3.2. |
Autoceļu fonds |
482 345
|
482 345
|
|
|
05.000 |
4. |
Vides aizsardzība |
35 606
|
35 606
|
|
| |
4.1. |
Dabas resursu nodokļa
izlietojums |
35 606
|
35 606
|
|
|
06.000 |
5. |
Pašvaldības teritoriju un mājokļu apsaimniekošana |
24 806
240
|
24 823
592
|
17 352
|
| |
5.1. |
Izdevumi neparedzētiem gadījumiem |
70 000
|
70 000
|
|
| |
5.2. |
Līdzdalības budžets |
81 528
|
81 528
|
|
| |
5.3. |
Būvvalde |
356 794
|
356 794
|
|
| |
5.4. |
Teritorijas plānošanas nodaļa |
291 217
|
291 217
|
|
| |
5.5. |
Attīstības un projektu nodaļa |
12 178
159
|
12 159
685
|
-18 474
|
| |
5.5.1. |
nodaļa |
741 080
|
711 716
|
-29 364
|
| |
5.5.2. |
Projekts "Sabiedrība ar
dvēseli" |
40 150
|
40 150
|
|
| |
5.5.3. |
Iedzīvotāju iniciatīvas un
konkursi. |
11 400
|
11 400
|
|
| |
5.5.4. |
TEP "Atjaunojamo
energoresursu izmantošana Ādažu novadā" (EUCF) |
30 654
|
30 654
|
|
| |
5.5.5. |
"Mobilitātes punkta
infrastruktūras izveidošana Rīgas metropoles areālā -
"Carnikava"" |
354 137
|
354 137
|
|
| |
5.5.6. |
Maģistrālā veloceļa izbūve
Rīga-Carnikava |
3 925 860
|
3 925 860
|
|
| |
5.5.7. |
"Upesceļi
II/Ūdenstūrisma pieejamības veicināšana
(RiverwaysII/Facilitating access to watertourism
activities)". |
42 495
|
42 495
|
|
| |
5.5.8. |
Projekts
"Infrastruktūras uzlabošana uzņēmējdarbības attīstībai
Ādažos" |
1 271 381
|
1 271 381
|
|
| |
5.5.9. |
Publiskās ārtelpas izveide
Gaujas ielā 31 Ādažos |
660 558
|
660 558
|
|
| |
5.5.10. |
LIFE NewBauhaus projekts |
850 912
|
861 802
|
10 890
|
| |
5.5.11. |
"Blusu" kroga
pārbūves tehniskā projekta izstrāde. |
404 972
|
404 972
|
|
| |
5.5.12. |
Krastupes ielas projekts |
2 415 898
|
2 415 898
|
|
| |
5.5.13. |
Projekts "Bioloģiskās
daudzveidības saglabāšana un antropogēnās slodzes mazināšana
Natura2000 teritorijās Ādažu novadā" |
987 120
|
987 120
|
|
| |
5.5.14. |
Multimodāls sabiedriskā
transporta tīkls, 2. kārta" |
326 348
|
326 348
|
|
| |
5.5.15. |
Patvertņu pielāgošana un
aprīkošana civiliem aizsardzības mērķiem |
115 194
|
115 194
|
|
| |
5.6. |
Objektu un teritorijas apsaimniekošana un uzturēšana |
11 828
542
|
11 864
368
|
35 826
|
| |
5.6.1. |
Nekustamā īpašumas
nodaļa |
209 419
|
215 419
|
6 000
|
| |
5.6.2. |
SAM 5.1.1. Pretplūdu pasākumi
Ādažu centra polderī, Ādažu novadā |
191 255
|
191 255
|
|
| |
5.6.3. |
Jaunais plūdu projekts -
2.1.3.2. "Nacionālas nozīmes plūdu un krasta erozijas
pasākumi" 1. daļa |
193 242 |
193 242 |
|
| |
5.6.4. |
Vecštāles ceļa asfaltēšana
(AM finansējums) |
888 703 |
888 703 |
|
| |
5.6.5. |
Dzirnupes ielas tilta pārbūve
I kārta, MRG būve, Nr. 02-20.1/25/167 |
575 345 |
575 345 |
|
| |
5.6.6. |
Šķiroto atkritumu savākšanas
laukums Laivu ielā 12, Carnikavā |
268 729 |
268 729 |
|
| |
5.6.7. |
Laveru sūkņu stacijas
pārbūve |
613 434 |
613 434 |
|
| |
5.6.8. |
P/A "Carnikavas
komunālserviss" teritorijas un īpašumu
apsaimniekošana |
6 348 646
|
6 378 472
|
29 826
|
| |
5.6.9. |
Investīcijas
energosaimniecības uzlabošanā |
516 833
|
516 833
|
|
| |
5.6.10. |
Investīcijas ceļu, ielu
infrastruktūras attīstībā un uzlabošanā |
1 925 648
|
1 925 648
|
|
| |
5.6.11. |
Investīcijas
hidromeliorācijas uzturēšanā un attīstībā |
97 288
|
97 288
|
|
|
08.000 |
6. |
Atpūta, kultūra un reliģija |
2 992
843
|
3 010
993
|
18 150
|
| |
6.1. |
Kultūra |
1 635 359
|
1 635 359
|
|
| |
6.1.1. |
Ādažu kultūras centrs |
815 272
|
815 272
|
|
| |
6.1.2. |
Tautas nams
"Ozolaine" |
566 368
|
566 368
|
|
| |
6.1.3. |
Muzejs un Carnikavas
novadpētniecības centrs |
207 547
|
207 547
|
|
| |
6.1.4. |
Tūrisms |
46 172
|
46 172
|
|
| |
6.2. |
Ādažu bibliotēka |
162 922
|
162 922
|
|
| |
6.3. |
Carnikavas bibliotēka |
77 820
|
77 820
|
|
| |
6.4. |
Sporta daļa |
1 091 514
|
1 109 664
|
18 150
|
| |
6.5. |
Evaņģēliski luteriskās
draudzes |
6 000
|
6 000
|
|
| |
6.6. |
Multihalle |
19 228
|
19 228
|
|
|
10.000 |
7. |
Sociālā aizsardzība |
3 909
733
|
3 909
733
|
|
| |
7.1. |
Sociālais dienests |
3 179 724
|
3 179 724
|
|
| |
7.1.1. |
Sociālās funkcijas
nodrošināšana |
685 615
|
685 615
|
|
| |
7.1.2. |
Pabalsti |
1 850 342
|
1 850 342
|
|
| |
7.1.3. |
Mērķdotācija |
-
|
-
|
|
| |
7.1.4. |
Asistentu pakalpojumi |
642 000
|
642 000
|
|
| |
7.1.5. |
Uzturēšanas izdevumi (CKS) |
1 767
|
1 767
|
|
| |
7.2. |
Stipendiāti /
bezdarbnieki |
6 869
|
6 869
|
|
| |
7.3. |
SAM 9311
Deinstitucionalizācija - Dienas centrs |
454 885
|
454 885
|
|
| |
7.3.1. |
DI centra uzturēšanas
izdevumi |
443 236
|
443 236
|
|
| |
7.3.2. |
DI centra uzturēšanas
izdevumi (CKS) |
11 649
|
11 649
|
|
| |
7.4. |
Bāriņtiesa |
167 400
|
167 400
|
|
|
|
7.5. |
Dotācijas Ukrainas pilsoņu
atbalstam |
53 636
|
53 636
|
|
|
|
7.6. |
SAM 9.2.4.2. projekts
"Pasākumi vietējās sabiedrības veselības
veicināšanai" |
47 219
|
47 219
|
|
|
09.000 |
8. |
Izglītība |
36 616
746
|
36 670
320
|
53 574
|
| |
8.1. |
Norēķini ar pašvaldību budžetiem par izglītības iestāžu
pakalpojumiem |
800 000
|
800 000
|
|
| |
8.2. |
Ādažu Pirmsskolas izglītības iestāde |
2 528
122
|
2 527
822
|
-300
|
| |
8.2.1. |
pedagogu algas, grāmatas
(mērķdotācija) |
386 470
|
386 470
|
|
| |
8.2.2. |
pārējās izmaksas |
1 691 795
|
1 691 495
|
-300
|
| |
8.2.3. |
ES Kohēzijas fonda projekts
"STEM un pilsoniskās līdzdalības norises plašākai
izglītības pieredzei un karjeras izvēlei" |
2 857
|
2 857
|
|
| |
8.2.4. |
uzturēšanas izmaksas
(CKS) |
447 000
|
447 000
|
|
| |
8.3. |
Kadagas PII |
1 472
568
|
1 472
568
|
|
| |
8.3.1. |
pedagogu algas, grāmatas
(mērķdotācija) |
167 072
|
167 072
|
|
| |
8.3.2. |
pārējās izmaksas |
1 068 814
|
1 068 814
|
|
| |
8.3.3. |
ES Kohēzijas fonda projekts
"STEM un pilsoniskās līdzdalības norises plašākai
izglītības pieredzei un karjeras izvēlei" |
1 643
|
1 643
|
|
| |
8.3.4. |
uzturēšanas izmaksas
(CKS) |
235 039
|
235 039
|
|
|
|
8.4. |
Pirmsskolas izglītības iestāde "Riekstiņš" |
1 764
581
|
1 764
581
|
|
| |
8.4.1. |
pedagogu algas, grāmatas
(mērķdotācija) |
201 671
|
201 671
|
|
| |
8.4.2. |
pārējās izmaksas |
1 322 431
|
1 322 431
|
|
| |
8.4.3. |
ES Kohēzijas fonda projekts
"STEM un pilsoniskās līdzdalības norises plašākai
izglītības pieredzei un karjeras izvēlei" |
2 219
|
2 219
|
|
|
|
8.4.4. |
uzturēšanas izmaksas
(CKS) |
238 260
|
238 260
|
|
|
|
8.5. |
Pirmsskolas izglītības iestādes "Piejūra" |
1 597
860
|
1 597
860
|
|
| |
8.5.1. |
pedagogu algas, grāmatas
(mērķdotācija) |
213 378
|
213 378
|
|
| |
8.5.2. |
pārējās izmaksas |
1 205 664
|
1 205 664
|
|
| |
8.5.3. |
ES Kohēzijas fonda projekts
"STEM un pilsoniskās līdzdalības norises plašākai
izglītības pieredzei un karjeras izvēlei" |
2 496
|
2 496
|
|
|
|
8.5.4. |
uzturēšanas izmaksas
(CKS) |
176 322
|
176 322
|
|
|
|
8.6. |
Privātās izglītības iestādes |
3 367
469
|
3 367
469
|
|
|
|
8.7. |
Carnikavas vidusskola |
3 231
179
|
3 231
139
|
-40
|
| |
8.7.1. |
pedagogu algas, grāmatas
(mērķdotācija) |
1 830 248
|
1 830 248
|
|
| |
8.7.2. |
ēdināšana (mērķdotācija) |
104 143
|
104 143
|
|
| |
8.7.3. |
pārējās izmaksas |
867 411
|
867 411
|
|
| |
8.7.4. |
uzturēšanas izmaksas
(CKS) |
329 532
|
329 532
|
|
| |
8.7.5. |
projekts "Skolas
soma" |
17 776
|
17 736
|
-40
|
| |
8.7.6. |
ES Kohēzijas fonda projekts
"STEM un pilsoniskās līdzdalības norises plašākai
izglītības pieredzei un karjeras izvēlei" |
15 473
|
15 473
|
|
| |
8.7.7. |
projekti Erasmus+;
NordPlus |
66 596
|
66 596
|
|
|
|
8.8. |
Ādažu vidusskola |
8 577
054
|
8 577
434
|
380
|
| |
8.8.1. |
pedagogu algas, grāmatas
(mērķdotācija) |
4 972 819
|
4 972 819
|
|
| |
8.8.2. |
pārējās izmaksas |
1 028 492 |
1 028 792 |
300
|
| |
8.8.3. |
uzturēšanas izmaksas
(CKS) |
776 305 |
776 305 |
|
| |
8.8.4. |
projekts Erasmus+ |
70 991 |
70 991 |
|
| |
8.8.5. |
projekts "Skolas
soma" |
42 102 |
42 182 |
80
|
| |
8.8.6. |
ES Kohēzijas fonda projekts
"STEM un pilsoniskās līdzdalības norises plašākai
izglītības pieredzei un karjeras izvēlei" |
42 376 |
42 376 |
|
| |
8.8.7. |
Ādažu vidusskolas D korpusa
siltināšana |
59 199
|
59 199
|
|
| |
8.8.8. |
sākumskolas uzturēšanas
izmaksas |
702 301
|
702 301
|
|
| |
8.8.9. |
sākumskolas uzturēšanas
izmaksas (CKS) |
393 201
|
393 201
|
|
| |
8.8.10. |
sākumskolas ēdināšana
(mērķdotācija) |
250 743
|
250 743
|
|
|
|
8.8.11. |
PII |
238 525
|
238 525
|
|
| |
8.8.11.1. |
pedagogu algas
(mērķdotācija) |
49 111
|
49 111
|
|
| |
8.8.11.2. |
uzturēšana |
170 322
|
170 322
|
|
| |
8.8.11.3. |
ES Kohēzijas fonda projekts
"STEM un pilsoniskās līdzdalības norises plašākai
izglītības pieredzei un karjeras izvēlei" |
1 221
|
1 221
|
|
| |
8.8.11.4. |
uzturēšanas izmaksas
(CKS) |
17 871
|
17 871
|
|
|
|
8.9. |
Ādažu novada mākslu skola |
1 995
994
|
1 995
994
|
|
| |
8.9.1. |
pedagogu algas
(mērķdotācija) |
849 067
|
849 067
|
|
| |
8.9.2. |
pārējās izmaksas |
1 146 927
|
1 146 927
|
|
|
|
8.10. |
Sporta skola |
915 221
|
915 221
|
|
| |
8.10.1. |
pedagogu algas
(mērķdotācija) |
339 485
|
339 485
|
|
| |
8.10.2. |
Pašvaldības finansējums |
575 736
|
575 736
|
|
|
|
8.11. |
Izglītības un jauniešu lietu pārvalde |
753 249
|
806 783
|
53 534
|
|
|
8.12. |
Līdzfinansējums skolēnu dalībai konkursos |
2 000
|
2 000
|
|
|
|
8.13. |
Jaunas pirmsskolas izglītības iestādes Podniekos
būvniecība |
8 910
183
|
8 910
183
|
|
|
|
8.14. |
Teritorijas novērtēšana pirms būvprojekta izstrādes un
būvprojekts jaunas pamatskolas izveidei Ādažu pilsētā |
78 747
|
78 747
|
|
|
|
8.15. |
Izglītības iestāžu nodrošinājums pilnveidotā vispārējās
izglītības satura kvalitatīvai ieviešanai Ādažu novadā |
622 519
|
622 519
|
|
|
|
|
KOPĀ
IZDEVUMI:
|
82 419
351
|
82 526
605
|
107 254
|
|
F40020020 |
9. |
Kredītu pamatsummas atmaksa |
3 907
497
|
3 907
497
|
|
|
|
|
PAVISAM
KOPĀ IZDEVUMI:
|
86 326
848
|
86 434
102
|
107 254
|
|
F21010000
AB
|
-
|
Naudas līdzekļu atlikums uz gada beigām |
150 304
|
103 595
|
-46 709
|
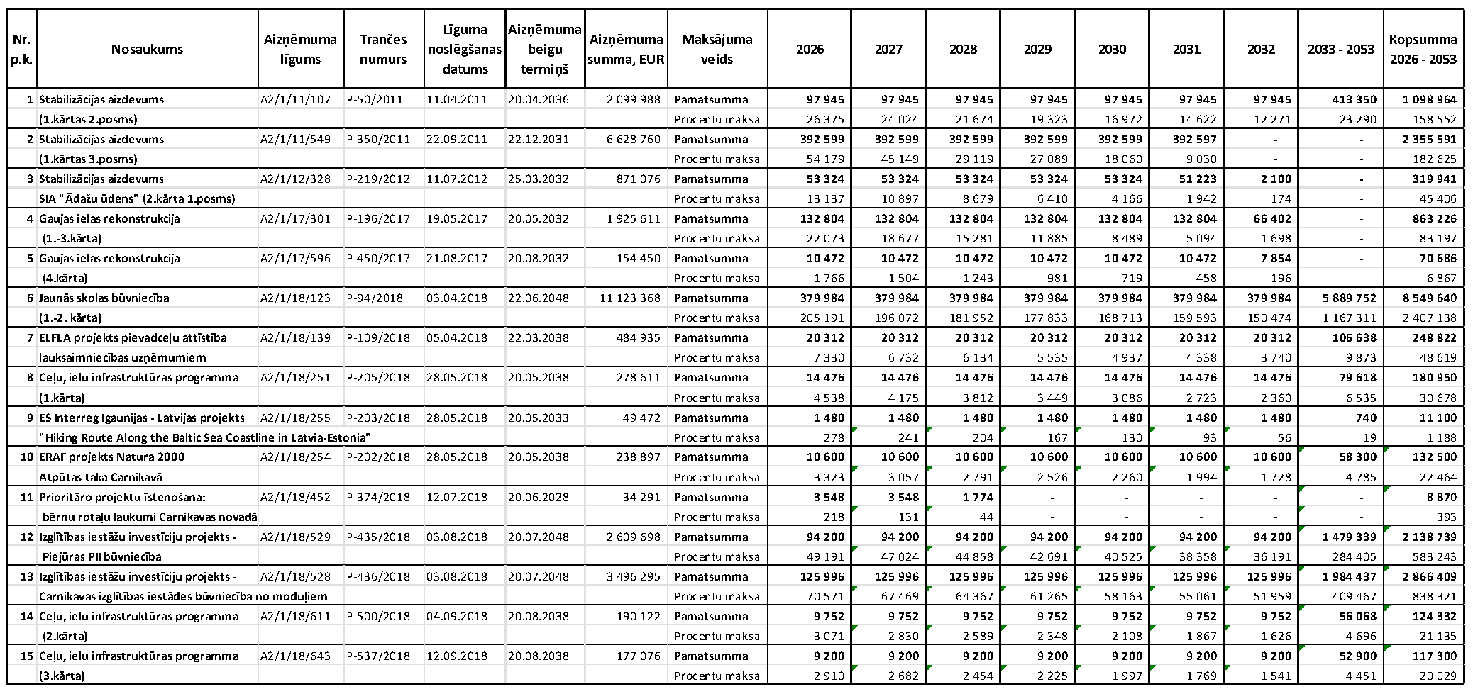
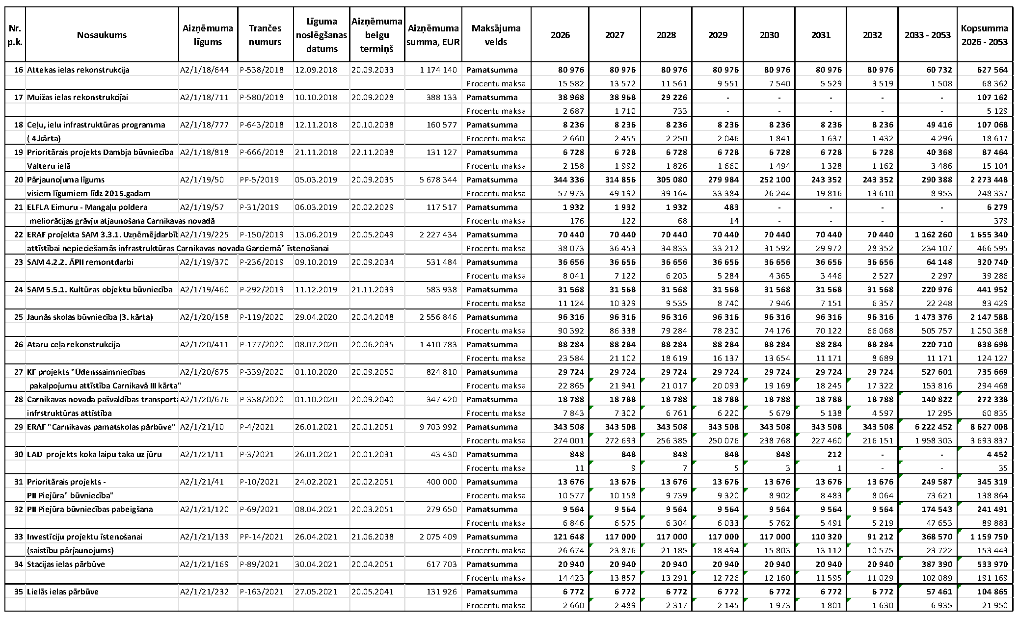
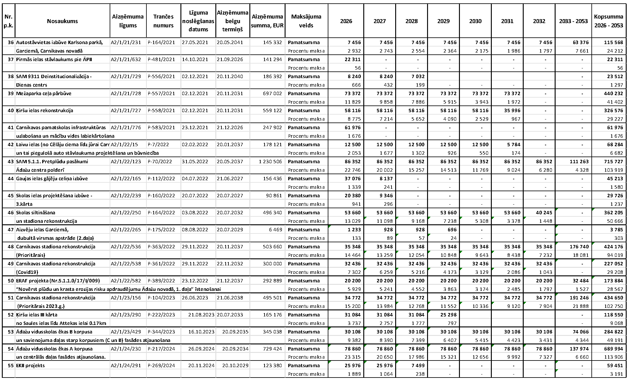
2. pielikums
Ādažu novada pašvaldības domes 2026. gada 26. marta saistošajiem
noteikumiem
Nr. 7/2026 "Grozījumi Ādažu novada pašvaldības domes 2026.
gada 29. janvāra
saistošajos noteikumos Nr. 1/2026 "Par Ādažu novada
pašvaldības budžetu 2026. gadam""
Aizņēmumu un
citu ilgtermiņa saistību pārskats





Ādažu novada pašvaldības domes
priekšsēdētāja vietnieks attīstības jautājumos G. Miglāns
Paskaidrojuma
raksts
Ādažu novada pašvaldības domes budžeta grozījumi 2026. gadam
apstiprināti 2026. gada 26. martā. Budžeta grozījumi sastāv no
pamatbudžeta, kuru veido ieņēmumu un izdevumu sadaļas, kā arī
aizņēmumu un citu ilgtermiņa saistību pārskata. Pašvaldība ir
ņēmusi vērā visu funkciju vajadzības un sabalansējusi pieejamos
finanšu līdzekļus tā, lai nodrošinātu uzlabojumus sabiedrībai
svarīgās jomās saskaņā ar pašvaldības attīstības plānošanas
dokumentos noteiktajiem mērķiem.
Saistošie noteikumi paredz šādus grozījumus budžetā:
• Precizēts summu sadalījums ieņēmumos un izdevumos starp
Ādažu un Carnikavas vidusskolām projekta "Skolas soma"
ietvaros. Ādažu vidusskolai papildus 80 euro un Carnikavas
vidusskolai samazinājums 40 euro.
• Precizēta projekta "Pedagogu profesionālā atbalsta
sistēmas izveide" naudas plūsma, palielinot ārfinansējuma
apjomu un izdevumus par 45'534 euro.
• Saskaņā ar vienošanos ar Ropažu pašvaldību katru gadu tiek
noteikts, kādā apjomā Ropažu pašvaldība veic līdzfinansējumu
Baltezera kapu uzturēšanā. 2026. gadā līdzfinansējuma apjoms
13'930 euro. Tā kā 2025. gadā netika iztērēts plānotais
apjoms, tad neiztērētā finansējuma daļa tiks atmaksāta Ropažu
pašvaldībai 29'826 euro apmērā.
• Sagatavojot gada noslēgumu pārskatus, konstatēts, ka
nesadalītais konta atlikums ir par 1'041 euro lielāks, kas
uz gada sākumu kopumā veido 6'704'031 euro.
• Saskaņā ar Ādažu novada domes 26.02.2026. lēmumu Nr. 83, kur
tiek pārcelta pozīcija kopienu speciālists no Attīstības daļas uz
pārvaldi, arī izdevumu sadaļā veikta korekcija 28'474 euro
pārcelšana, kopienu speciālista izmaksas, no sadaļas
"Attīstības un projektu nodaļa" uz sadaļu
"Vispārējie valdības dienesti, pārvalde".
• Tā kā pašvaldībā divus mēnešus priekšsēdētāja vakance ir
brīva, tad ekonomija uz atalgojumu 10'296 euro apmērā tiek
novirzīta uz nesadalīto konta atlikumu.
• Saskaņā ar Domes 26.02.2026. lēmumu Nr. 76, pārcelti EUR
10'000 no nesadalītā konta atlikuma Pirmā iela 42A metāla
konstrukciju un pamatu detalizētai izpētei. Pēc iepirkuma
procedūras noslēgšanās summa ir 10'890 euro, papildus
nepieciešamie 890 euro pārcelti no sadaļas no
"Attīstības un projektu nodaļa" uz sadaļu "LIFE
NewBauhaus projekts".
• Zemes nodalīšanai Zvejnieku iela 23 un Tulpju iela 5, lai
daļu nodotu SIA "Ādažu namsaimnieks", pārcelti 6'000
euro no nesadalītā konta atlikuma zemes ierīcības projekta
izstrādei,
Kopumā Ādažu novada pašvaldības domes budžeta grozījumi paredz
ieņēmumu palielinājumu par 59'504 euro, nosakot budžeta
ieņēmumus 67'519'371 euro apmērā un izdevumu daļas
palielinājumu par 107'254 euro, nosakot budžeta izdevumus
82'526'605 euro apmērā. Plānoto aizņēmumu apjoms 2026.
gadā ir 10'307'001 euro apmērā, un aizņēmumu pamatsummas
atmaksa 2026. gadā plānota 3'907'497 euro apmērā.
Ādažu novada pašvaldības domes
priekšsēdētāja vietnieks attīstības jautājumos G.
Miglāns