Ādažu novada pašvaldības domes saistošie
noteikumi Nr. 23/2025
Ādažos 2025. gada 29. maijā
Grozījumi Ādažu novada pašvaldības
domes 2025. gada 22. janvāra saistošajos noteikumos
Nr. 1/2025 "Par Ādažu novada pašvaldības budžetu 2025.
gadam"
APSTIPRINĀTI
ar Ādažu novada pašvaldības domes
2025. gada 29. maija sēdes lēmumu (prot. Nr. 12 § 53)
Izdoti saskaņā ar Pašvaldību likuma
10. panta pirmās daļas 1. punktu un 48. pantu,
likuma "Par pašvaldību budžetiem" 16. un 17. pantu
un
likuma "Par budžetu un finanšu vadību" 6. pantu
Izdarīt Ādažu novada pašvaldības domes 2025. gada 22. janvāra
saistošajos noteikumos Nr. 1/2025 "Par Ādažu novada
pašvaldības budžetu 2025. gadam" šādus grozījumus:
1. Izteikt noteikumu 2. punkta 2.3., 2.3.1., 2.3.2., 2.3.3. un
2.3.4. apakšpunktus šādā redakcijā:
2.3. "pamatbudžets 2025. gadā (1. pielikums):
2.3.1. ieņēmumi - EUR 61 987 173;
2.3.2. izdevumi - EUR 71 626 326;
2.3.3. plānotie aizņēmumi - EUR 6 668 106;
2.3.4. atmaksājamā summa Valsts kases kredītiem
(2. pielikums) - EUR 3 658 289".
Ādažu novada pašvaldības domes
priekšsēdētāja K. Miķelsone
1. pielikums
Ādažu novada pašvaldības domes 2025. gada 29. maija saistošajiem
noteikumiem
Nr. 23/2025 "Grozījumi Ādažu novada pašvaldības domes 2025.
gada 22. janvāra
saistošajos noteikumos Nr. 1/2025 "Par Ādažu novada
pašvaldības budžetu 2025. gadam""
Pamatbudžets 2025. gadam
IEŅĒMUMU
DAĻA
|
Klasifikācijas kods
|
Nr.p.k.
|
Sadaļa
|
27.03.2025. grozījumi
|
29.05.2025. grozījumi
|
Izmaiņas
|
|
|
1.-5. |
Nodokļu ieņēmumi |
42 715 458 |
41 763 189 |
-952 269 |
|
1.1.0.0. |
1. |
Iedzīvotāju ienākuma nodoklis |
39 439 118 |
38 486 849 |
-952 269 |
| |
1.1. |
pārskata gada |
39 439 118 |
38 486 849 |
-952 269 |
| |
2.-4. |
Nekustamā īpašuma nodokļu ieņēmumi |
3 211 340 |
3 211 340 |
|
|
4.1.1.0. |
2. |
Nekustamā īpašuma nodoklis par zemi |
2 082 625 |
2 082 625 |
|
| |
2.1. |
pārskata gada |
1 945 625 |
1 945 625 |
|
| |
2.2. |
iepriekšējo gadu parādi |
137 000 |
137 000 |
|
|
4.1.2.0. |
3. |
Nekustamā īpašuma nodoklis par ēkām |
392 228 |
392 228 |
|
| |
3.1. |
pārskata gada |
362 228 |
362 228 |
|
| |
3.2. |
iepriekšējo gadu parādi |
30 000 |
30 000 |
|
|
4.1.3.0. |
4. |
Nekustamā īpašuma nodoklis par mājokļiem un
inženierbūvēm |
736 487 |
736 487 |
|
| |
4.1. |
pārskata gada |
665 899 |
665 899 |
|
| |
4.2. |
iepriekšējo gadu parādi |
70 588 |
70 588 |
|
|
5.5.3.0. |
5. |
Nodokļi un maksājumi par tiesībām lietot atsevišķas
preces |
65 000 |
65 000 |
|
| |
5.1. |
Azartspēļu nodoklis |
5 000 |
5 000 |
|
|
|
5.2. |
Dabas resursu nodoklis |
60 000 |
60 000 |
|
|
9.0.0.0. |
6. |
Valsts (pašvaldību) un kancelejas nodevas |
144 060 |
144 060 |
|
| |
6.1. |
valsts nodevas |
6 100 |
6 100 |
|
| |
6.1.1. |
t.sk.: - par apliecinājumiem
un citu funkciju pildīšanu bāriņtiesā |
1 100 |
1 100 |
|
| |
6.1.2. |
t.sk.: - par civilstāvokļa
aktu reģistrēšanu, grozīšanu un papildināšanu |
4 500 |
4 500 |
|
| |
6.1.3. |
t.sk.: - pārējās valsts
nodevas, kuras ieskaita pašvaldību budžetā |
500 |
500 |
|
| |
6.2. |
pašvaldību nodevas |
137 960 |
137 960 |
|
| |
6.2.1. |
t.sk.: - nodeva par domes
izstrādāto oficiālo dokumentu saņemšanu |
100 |
100 |
|
| |
6.2.2. |
t.sk.: - nodeva par
izklaidējoša rakstura pasākumu sarīkošanu publiskās
vietās |
1 860 |
1 860 |
|
| |
6.2.3. |
t.sk.: - nodeva par
tirdzniecību publiskās vietās |
33 000 |
33 000 |
|
| |
6.2.4. |
t.sk.: - nodeva par reklāmas,
afišu un sludinājumu izvietošanu publiskās vietās |
13 000 |
13 000 |
|
| |
6.2.5. |
t.sk.: - nodeva par
būvatļaujas saņemšanu |
85 000 |
85 000 |
|
| |
6.2.6. |
t.sk.: - pārējās nodevas |
5 000 |
5 000 |
|
|
10.0.0.0. |
7. |
Naudas sodi un sankcijas |
130 000 |
130 000 |
|
| |
7.1. |
Naudas sodi un sankcijas |
90 000 |
90 000 |
|
| |
7.2. |
Naudas sodi par pārkāpumiem
ceļu satiksmē |
40 000 |
40 000 |
|
|
12.0.0.0. |
8. |
Pārējie nenodokļu ieņēmumi |
35 728 |
35 728 |
|
| |
8.1. |
citi nenodokļu ieņēmumi |
25 728 |
25 728 |
|
| |
8.2. |
līgumsodi un procentu
maksājumi par saistību neizpildi |
- |
- |
|
| |
8.3. |
ieņēmumi no zvejas tiesību
nomas |
10 000 |
10 000 |
|
|
13.0.0.0. |
9. |
Ieņēmumi no pašvaldības īpašumu pārdošana |
- |
- |
|
|
18.6.0.0. |
10. |
Valsts budžeta transferti un projektu finansējums |
17 672 389 |
18 762 241 |
1 089 852 |
|
|
10.1. |
Valsts budžeta
transferti |
9 781 664 |
9 919 247 |
137 583 |
| |
10.1.1. |
dotācija mākslas skolas
algām |
718 764 |
718 764 |
|
| |
10.1.2. |
dotācija sporta skolai |
313 180 |
313 180 |
|
| |
10.1.3. |
dotācija skolēnu
ēdināšanai |
341 692 |
341 692 |
|
| |
10.1.4. |
dotācija mācību grāmatām |
- |
117 542 |
117 542 |
| |
10.1.4.1. |
t.sk.: - dotācija mācību
grāmatām |
|
117 542 |
117 542 |
| |
10.1.4.2. |
t.sk.: - dotācija
digitālajiem mācību līdzekļiem |
|
|
|
| |
10.1.5. |
dotācijas pedagogu algām
(vsk., PII) |
7 137 676 |
7 137 676 |
|
| |
10.1.5.1. |
t.sk.: - piecgadīgo bērnu
apmācība |
1 065 868 |
1 065 868 |
|
| |
10.1.5.2. |
t.sk.: - skolotāju algām |
5 542 646 |
5 542 646 |
|
| |
10.1.5.3. |
t.sk.: - interešu
izglītība |
529 162 |
529 162 |
|
| |
10.1.6. |
dotācija māksliniecisko
kolektīvu vadītāju atalgojumam |
26 360 |
26 360 |
|
| |
10.1.7. |
Projekts "Skolas
soma" Ādaži |
37 535 |
37 535 |
|
| |
10.1.8. |
Projekts "Skolas
soma" Carnikava |
11 142 |
11 142 |
|
| |
10.1.9. |
dotācija asistenta
pakalpojumu nodrošināšanai |
580 000 |
580 000 |
|
| |
10.1.10. |
valsts dotācija ceļu
uzturēšanai |
406 576 |
406 576 |
|
| |
10.1.11. |
dotācijas Ukrainas pilsoņu
atbalstam |
70 000 |
70 000 |
|
| |
10.1.12. |
dotācijas nodarbinātības
pasākumiem |
12 607 |
12 607 |
|
| |
10.1.13. |
pārējās dotācijas |
126 132 |
146 173 |
20 041 |
| 18.6.3.0. |
10.2. |
ES struktūrfondu līdzekļi un
aktivitāšu līdzfinansējumi |
7 890 725 |
7 890 725 |
|
| |
10.2.1. |
Projekts
"Infrastruktūras uzlabošana uzņēmējdarbības attīstībai
Ādažos" |
638 646 |
638 646 |
|
| |
10.2.2. |
Publiskās ārtelpas izveide
Gaujas ielā 31 Ādažos |
103 070 |
103 070 |
|
| |
10.2.3. |
LIFE NewBauhaus projekts |
267 455 |
267 455 |
|
| |
10.2.4. |
Jaunais plūdu projekts -
2.1.3.2. "Nacionālas nozīmes plūdu un krasta erozijas
pasākumi" 1.daļa |
217 332 |
217 332 |
|
| |
10.2.5. |
Krastupes ielas projekts |
308 659 |
308 659 |
|
| |
10.2.6. |
Jaunas pirmsskolas izglītības
iestādes Podniekos būvniecība |
2 500 000 |
2 500 000 |
|
| |
10.2.7. |
Projekts "Digitālā darba
ar jaunatni sistēmas attīstība pašvaldībās" |
30 428 |
30 428 |
|
| |
10.2.8. |
"Mobilitātes punkta
infrastruktūras izveidošana Rīgas metropoles areālā -
"Carnikava"" |
830 550 |
830 550 |
|
| |
10.2.9. |
Maģistrālā veloceļa izbūve
Rīga-Carnikava |
2 661 252 |
2 661 252 |
|
| |
10.2.10. |
"Blusu" kroga
pārbūves tehniskā projekta izstrāde |
333 333 |
333 333 |
|
| |
10.3. |
IIN budžeta dotācija |
|
952 269 |
952 269 |
|
19.2.0.0. |
11. |
Pašvaldību budžeta transferti |
350 000 |
350 000 |
|
| |
11.1. |
no citām pašvaldībām
izglītības funkciju nodrošināšanai |
350 000 |
350 000 |
|
|
21.0.0.0. |
12. |
Budžeta iestāžu ieņēmumi |
801 955 |
801 955 |
|
| |
12.1. |
maksa par izglītības
pakalpojumiem |
219 800 |
219 800 |
|
| |
12.1.1. |
ieņēmumi no vecāku maksām
(PII) |
61 000 |
61 000 |
|
| |
12.1.2. |
ieņēmumi no vecāku maksām
(ĀNMS, BJSS) |
158 800 |
158 800 |
|
| |
12.2. |
pārrobežu projektu
ieņēmumi |
60 812 |
60 812 |
|
| |
12.2.1. |
ERASMUS + projekti |
60 812 |
60 812 |
|
| |
12.2.2. |
citi pārrobežu projektu
ieņēmumi |
- |
- |
|
| |
12.3. |
ieņēmumi par nomu un īri |
322 370 |
322 370 |
|
| |
12.3.1. |
ieņēmumi par telpu nomu |
236 370 |
236 370 |
|
| |
12.3.2. |
ieņēmumi par zemes nomu |
86 000 |
86 000 |
|
| |
12.3.3. |
pārējie ieņēmumi par
nomu |
- |
- |
|
| |
12.4. |
budžeta iestāžu maksas
pakalpojumi |
98 350 |
98 350 |
|
| |
12.4.1. |
budžeta iestāžu maksas
pakalpojumi |
98 350 |
98 350 |
|
| |
12.4.2. |
ieņēmumi no biļešu
realizācijas |
- |
- |
|
| |
12.5. |
pārējie ieņēmumi/stāvvietu
ieņēmumi |
100 623 |
100 623 |
|
|
|
|
KOPĀ
IEŅĒMUMI: |
61 849 590 |
61 987 173 |
137 583 |
|
F21010000 AS |
13. |
Naudas līdzekļu atlikums gada sākumā |
6 694 243 |
6 694 243 |
|
| |
13.1. |
Naudas atlikums iezīmētiem
mērķiem |
1 040 957 |
1 040 957 |
|
| |
13.2. |
Naudas atlikums pašvaldības
līdzekļi |
5 653 286 |
5 653 286 |
|
|
F40020010 |
14. |
Valsts Kases kredīti |
6 608 118 |
6 668 106 |
59 988 |
|
|
14.1. |
Aizņēmums skolas ielas
rekonstrukcijai |
85 000 |
85 000 |
|
| |
14.2. |
Jaunas pirmsskolas izglītības
iestādes Podniekos būvniecība |
3 100 179 |
3 100 179 |
|
| |
14.3. |
Āra lifta izbūve pie A
korpusa |
85 000 |
85 000 |
|
| |
14.4. |
Ādažu vidusskolas D korpusa
siltināšana |
255 000 |
255 000 |
|
| |
14.5. |
Ādažu vidusskolas ēkas A
korpusa, savienojuma daļas starp korpusiem (A un B), kā arī,
vidusskolas centrālās daļas, tai skaitā torņa fasādes
atjaunošana. |
474 147 |
474 147 |
|
| |
14.6. |
Dzirnupes ielas tilta pārbūve
I kārta |
510 000 |
510 000 |
|
| |
14.7. |
Projekts
"Infrastruktūras uzlabošana uzņēmējdarbības attīstībai
Ādažos" |
295 238 |
295 238 |
|
| |
14.8. |
Krastupes ielas projekts |
70 622 |
70 622 |
|
| |
14.9. |
"Mobilitātes punkta
infrastruktūras izveidošana Rīgas metropoles areālā -
"Carnikava"" |
123 536 |
183 524 |
59 988 |
| |
14.10. |
Maģistrālā veloceļa izbūve
Rīga-Carnikava |
1 609 396 |
1 609 396 |
|
|
|
KOPĀ PIEEJAMAIS FINANSĒJUMS: |
75 151 951 |
75 349 522 |
197 571 |
IZDEVUMU
DAĻA
|
Klasifikācijas kods
|
Nr.p.k.
|
Sadaļa
|
27.03.2025. grozījumi
|
29.05.2025. grozījumi
|
Izmaiņas
|
|
01.000 |
1. |
Vispārējie valdības dienesti |
12
264 534 |
12
263 884 |
-650 |
| |
1.1. |
pārvalde |
2 120 144 |
2 119 494 |
-650 |
| |
1.2. |
deputāti |
377 185 |
377 185 |
|
| |
1.3. |
administratīvā komisija |
62 822 |
62 822 |
|
| |
1.4. |
iepirkumu komisija |
45 177 |
45 177 |
|
| |
1.5. |
vēlēšanu komisija |
88 097 |
88 097 |
|
| |
1.6. |
pārējās komisijas |
33 489 |
33 489 |
|
| |
1.7. |
aizņēmumu procentu
maksājumi |
2 102 431 |
2 102 431 |
|
| |
1.8. |
Iemaksas PFIF |
6 917 724 |
6 917 724 |
|
| |
1.9. |
Informācijas tehnoloģiju
nodaļa, vispārējas nozīmes dienestu darbība un pakalpojumi -
datortīkla uzturēšana |
517 465 |
517 465 |
|
|
03.000 |
2. |
Sabiedriskā kārtība un drošība |
1 114
238 |
1 129
824 |
15
586 |
|
04.000 |
3. |
Ekonomiskā darbība |
646
058 |
646
058 |
|
| |
3.1. |
Sabiedriskās attiecības,
laikraksts |
200 531 |
199 944 |
-587 |
| |
3.2. |
Autoceļu fonds |
445 527 |
446 114 |
587 |
|
05.000 |
4. |
Vides aizsardzība |
225
687 |
225
687 |
|
| |
4.1. |
Dabas resursu nodokļa
izlietojums |
225 687 |
225 687 |
|
|
06.000 |
5. |
Pašvaldības teritoriju un mājokļu apsaimniekošana |
18
123 822 |
17
992 555 |
-131
267 |
| |
5.1. |
Izdevumi neparedzētiem gadījumiem |
70
000 |
70
000 |
|
| |
5.2. |
Līdzdalības budžets |
52
568 |
52
568 |
|
| |
5.3. |
Būvvalde |
333
393 |
333
393 |
|
| |
5.4. |
Teritorijas plānošanas nodaļa |
334
779 |
334
779 |
|
| |
5.5. |
Attīstības un projektu nodaļa |
8 401
067 |
8 461
055 |
59
988 |
| |
5.5.1. |
nodaļa |
522 909 |
522 909 |
|
| |
5.5.2. |
Projekts "Sabiedrība ar
dvēseli" |
40 000 |
40 000 |
|
| |
5.5.3. |
Iedzīvotāju iniciatīvas un
konkursi. |
13 400 |
13 400 |
|
| |
5.5.4. |
TEP "Atjaunojamo
energoresursu izmantošana Ādažu novadā" (EUCF) |
49 346 |
49 346 |
|
| |
5.5.5. |
"Mobilitātes punkta
infrastruktūras izveidošana Rīgas metropoles areālā -
"Carnikava"" |
985 558 |
1 045 546 |
59 988 |
| |
5.5.6. |
Maģistrālā veloceļa izbūve
Rīga-Carnikava |
4 425 220 |
4 425 220 |
|
| |
5.5.7. |
"Upesceļi
II/Ūdenstūrisma pieejamības veicināšana
(RiverwaysII/Facilitating access to watertourism
activities)". |
34 550 |
34 550 |
|
| |
5.5.8. |
Projekts
"Infrastruktūras uzlabošana uzņēmējdarbības attīstībai
Ādažos" |
950 824 |
950 824 |
|
| |
5.5.9. |
Publiskās ārtelpas izveide
Gaujas ielā 31 Ādažos |
138 477 |
138 477 |
|
| |
5.5.10. |
Projekts jauniešu asociāciju
federācija Eiropas mobilitātei. CERV programmas projekts
"YOUTth and democracy: empowering Europe's next
generation" |
3 200 |
3 200 |
|
| |
5.5.11. |
LIFE NewBauhaus projekts |
434 122 |
434 122 |
|
| |
5.5.12. |
"Blusu" kroga
pārbūves tehniskā projekta izstrāde. |
416 333 |
416 333 |
|
| |
5.5.13. |
Krastupes ielas projekts |
387 128 |
387 128 |
|
| |
5.6. |
Objektu un teritorijas apsaimniekošana un uzturēšana |
8 932
015 |
8 740
760 |
-191
255 |
| |
5.6.1. |
Nekustamā īpašuma nodaļa |
242 016 |
234 016 |
-8 000 |
| |
5.6.2. |
SAM 5.1.1. Pretplūdu pasākumi
Ādažu centra polderī, Ādažu novadā |
191 255 |
- |
-191 255 |
| |
5.6.3. |
Jaunais plūdu projekts -
2.1.3.2. "Nacionālas nozīmes plūdu un krasta erozijas
pasākumi" 1.daļa |
255 685 |
255 685 |
|
| |
5.6.4. |
P/A "Carnikavas
komunālserviss" teritorijas un īpašumu
apsaimniekošana |
5 761 522 |
5 769 522 |
8 000 |
| |
5.6.5. |
Investīcijas
energosaimniecības uzlabošanā |
237 443 |
237 443 |
|
| |
5.6.6. |
Investīcijas vides pārvaldībā
un uzlabošanā |
339 942 |
339 942 |
|
| |
5.6.7. |
Investīcijas ceļu, ielu
infrastruktūras attīstībā un uzlabošanā |
1 904 152 |
1 904 152 |
|
|
08.000 |
6. |
Atpūta, kultūra un reliģija |
2 552
007 |
2 536
621 |
-15
386 |
| |
6.1. |
Kultūra |
1 535 520 |
1 535 520 |
|
| |
6.1.1. |
Ādažu kultūras centrs |
793 277 |
793 277 |
|
| |
6.1.2. |
Tautas nams
"Ozolaine" |
526 028 |
526 028 |
|
| |
6.1.3. |
Muzejs un Carnikavas
novadpētniecības centrs |
185 916 |
185 916 |
|
| |
6.1.4. |
Tūrisms |
30 299 |
30 299 |
|
| |
6.2. |
Ādažu bibliotēka |
158 076 |
158 076 |
|
| |
6.3. |
Carnikavas bibliotēka |
73 071 |
73 071 |
|
| |
6.4. |
Sporta daļa |
762 112 |
746 726 |
-15 386 |
| |
6.5. |
Evaņģēliski luteriskās
draudzes |
4 000 |
4 000 |
|
| |
6.6. |
Multihalle |
19 228 |
19 228 |
|
|
10.000 |
7. |
Sociālā aizsardzība |
3 546
428 |
3 546
428 |
|
| |
7.1. |
Sociālais dienests |
2 768 443 |
2 768 443 |
|
| |
7.1.1. |
Sociālās funkcijas
nodrošināšana |
646 488 |
646 488 |
|
| |
7.1.2. |
Pabalsti |
1 540 233 |
1 540 233 |
|
| |
7.1.3. |
Mērķdotācija |
- |
- |
|
| |
7.1.4. |
Asistentu pakalpojumi |
580 000 |
580 000 |
|
| |
7.1.5. |
Uzturēšanas izdevumi (CKS) |
1 722 |
1 722 |
|
| |
7.2. |
Stipendiāti /
bezdarbnieki |
14 883 |
14 883 |
|
| |
7.3. |
SAM 9311
Deinstitucionalizācija - Dienas centrs |
444 938 |
444 938 |
|
| |
7.3.1. |
DI centra uzturēšanas
izdevumi |
432 274 |
432 274 |
|
| |
7.3.2. |
DI centra uzturēšanas
izdevumi (CKS) |
12 664 |
12 664 |
|
| |
7.4. |
Bāriņtiesa |
158 418 |
158 418 |
|
|
|
7.5. |
Dotācijas Ukrainas pilsoņu
atbalstam |
70 604 |
70 604 |
|
|
|
7.6. |
ANM pasākuma "Atbalsta
pasākumi cilvēkiem ar invaliditāti mājokļu vides pieejamības
nodrošināšanai" projekts |
44 312 |
44 312 |
|
|
|
7.7. |
SAM 9.2.4.2. projekts
"Pasākumi vietējās sabiedrības veselības
veicināšanai" |
44 830 |
44 830 |
|
|
09.000 |
8. |
Izglītība |
33
147 236 |
33
285 269 |
138
033 |
| |
8.1. |
Norēķini ar pašvaldību budžetiem par izglītības iestāžu
pakalpojumiem |
851
975 |
851
975 |
|
| |
8.2. |
Ādažu Pirmsskolas izglītības iestāde |
2 529
158 |
2 535
967 |
6
809 |
| |
8.2.1. |
pedagogu algas, grāmatas
(mērķdotācija) |
361 243 |
368 052 |
6 809 |
| |
8.2.2. |
pārējās izmaksas |
1 670 882 |
1 670 882 |
|
| |
8.2.3. |
uzturēšanas izmaksas
(CKS) |
497 033 |
497 033 |
|
| |
8.3. |
Kadagas PII |
1 499
060 |
1 501
706 |
2
646 |
| |
8.3.1. |
pedagogu algas, grāmatas
(mērķdotācija) |
144 697 |
147 343 |
2 646 |
| |
8.3.2. |
pārējās izmaksas |
1 108 510 |
1 108 510 |
|
| |
8.3.3. |
uzturēšanas izmaksas
(CKS) |
245 853 |
245 853 |
|
|
|
8.4. |
Pirmsskolas izglītības iestāde "Riekstiņš" |
1 850
322 |
1 854
025 |
3
703 |
| |
8.4.1. |
pedagogu algas, grāmatas
(mērķdotācija) |
200 053 |
203 756 |
3 703 |
| |
8.4.2. |
pārējās izmaksas |
1 406 595 |
1 406 595 |
|
|
|
8.4.3. |
uzturēšanas izmaksas
(CKS) |
243 674 |
243 674 |
|
|
|
8.5. |
Pirmsskolas izglītības iestādes "Piejūra" |
1 570
891 |
1 575
794 |
4
903 |
| |
8.5.1. |
pedagogu algas, grāmatas
(mērķdotācija) |
263 376 |
268 279 |
4 903 |
| |
8.5.2. |
pārējās izmaksas |
1 141 525 |
1 141 525 |
|
|
|
8.5.3. |
uzturēšanas izmaksas
(CKS) |
165 990 |
165 990 |
|
|
|
8.6. |
Privātās izglītības iestādes |
3 797
888 |
3 797
888 |
|
|
|
8.7. |
Carnikavas vidusskola |
2 709
458 |
2 734
011 |
24
553 |
| |
8.7.1. |
pedagogu algas, grāmatas
(mērķdotācija) |
1 494 895 |
1 519 448 |
24 553 |
| |
8.7.2. |
ēdināšana (mērķdotācija) |
94 076 |
94 076 |
|
| |
8.7.3. |
pārējās izmaksas |
689 772 |
689 772 |
|
| |
8.7.4. |
uzturēšanas izmaksas
(CKS) |
342 547 |
342 547 |
|
| |
8.7.5. |
projekts "Skolas
soma" |
11 200 |
11 200 |
|
| |
8.7.6. |
projekti Erasmus+;
NordPlus |
76 968 |
76 968 |
|
|
|
8.8. |
Ādažu vidusskola |
8 976
780 |
9 067
744 |
90
964 |
| |
8.8.1. |
pedagogu algas, grāmatas
(mērķdotācija) |
4 589 323 |
4 662 311 |
72 988 |
| |
8.8.2. |
pārējās izmaksas |
904 140 |
904 140 |
|
| |
8.8.3. |
uzturēšanas izmaksas
(CKS) |
779 351 |
780 672 |
1 321 |
| |
8.8.4. |
projekts Erasmus+ |
51 949 |
51 949 |
|
| |
8.8.5. |
projekts "Skolas
soma" |
41 000 |
41 000 |
|
| |
8.8.6. |
Ādažu vidusskolas D korpusa
siltināšana |
300 000 |
300 000 |
|
| |
8.8.7. |
Ādažu vidusskolas ēkas A
korpusa, savienojuma daļas starp korpusiem (A un B), kā arī,
vidusskolas centrālās daļas, tai skaitā torņa fasādes
atjaunošana. |
542 914 |
557 629 |
14 715 |
| |
8.8.8. |
sākumskolas uzturēšanas
izmaksas |
727 923 |
727 923 |
|
| |
8.8.9. |
sākumskolas uzturēšanas
izmaksas (CKS) |
428 433 |
428 433 |
|
| |
8.8.10. |
sākumskolas ēdināšana
(mērķdotācija) |
263 797 |
263 797 |
|
|
|
8.8.11. |
PII |
347
950 |
349
890 |
1
940 |
| |
8.8.11.1. |
- pedagogu algas
(mērķdotācija) |
100 105 |
102 045 |
1 940 |
| |
8.8.11.2. |
- uzturēšana |
232 189 |
232 189 |
|
| |
8.8.11.3. |
- uzturēšanas izmaksas
(CKS) |
15 656 |
15 656 |
|
|
|
8.9. |
Ādažu novada mākslu skola |
1 819
829 |
1 819
829 |
|
| |
8.9.1. |
pedagogu algas
(mērķdotācija) |
735 359 |
735 359 |
|
| |
8.9.2. |
pārējās izmaksas |
1 084 470 |
1 084 470 |
|
|
|
8.10. |
Sporta skola |
845
947 |
845
947 |
|
| |
8.10.1. |
pedagogu algas
(mērķdotācija) |
313 283 |
313 283 |
|
| |
8.10.2. |
Pašvaldības finansējums |
532 664 |
532 664 |
|
|
|
8.11. |
Izglītības un jauniešu lietu pārvalde |
540
405 |
544
860 |
4
455 |
|
|
8.12. |
Līdzfinansējums skolēnu dalībai konkursos |
3
000 |
3
000 |
|
|
|
8.13. |
Jaunas pirmsskolas izglītības iestādes Podniekos
būvniecība |
5 600
179 |
5 600
179 |
|
|
|
8.14. |
Teritorijas novērtēšana pirms būvprojekta izstrādes un
būvprojekts jaunas pamatskolas izveidei Ādažu pilsētā |
267
067 |
267
067 |
|
|
|
8.15. |
Latvijas Skolu jaunatnes dziesmu un deju svētki |
285
277 |
285
277 |
|
|
|
|
KOPĀ
IZDEVUMI: |
71
620 010 |
71
626 326 |
6
316 |
|
F40020020 |
9. |
Kredītu pamatsummas atmaksa |
3 467
035 |
3 658
289 |
191
255 |
|
|
|
PAVISAM KOPĀ IZDEVUMI: |
75
087 045 |
75
284 615 |
197
571 |
|
F21010000
AB
|
-
|
Naudas līdzekļu atlikums uz gada beigām |
64
907 |
64
907 |
0 |
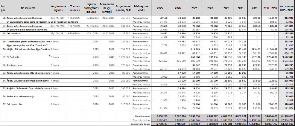
2. pielikums
Ādažu novada pašvaldības domes 2025. gada 29. maija saistošajiem
noteikumiem
Nr. 23/2025 "Grozījumi Ādažu novada pašvaldības domes 2025.
gada 22. janvāra
saistošajos noteikumos Nr. 1/2025 "Par Ādažu novada
pašvaldības budžetu 2025. gadam""
Aizņēmumu un citu ilgtermiņa
saistību pārskats





Ādažu novada pašvaldības domes
priekšsēdētāja K. Miķelsone
Paskaidrojuma raksts
Ādažu novada pašvaldības domes budžeta grozījumi 2025. gadam
apstiprināti 2025. gada 29. maijā. Budžeta grozījumi sastāv no
pamatbudžeta, kuru veido ieņēmumu un izdevumu sadaļas, kā arī
aizņēmumu un citu ilgtermiņa saistību pārskats. Pašvaldība ir
ņēmusi vērā visu funkciju vajadzības un sabalansējusi pieejamos
finanšu līdzekļus tā, lai nodrošinātu uzlabojumus sabiedrībai
svarīgās jomās saskaņā ar pašvaldības attīstības plānošanas
dokumentos noteiktajiem mērķiem.
Saistošie noteikumi paredz šādus grozījumus budžetā:
• Saskaņā ar Ministru kabineta 2024. gada 17. decembra
noteikumiem Nr. 877 "Noteikumi par pašvaldību finanšu
izlīdzināšanas fonda ieņēmumiem un to sadales kārtību 2025.
gadā" EUR 952'269, ko budžetā pašvaldība norādījusi kā
iedzīvotāju ienākuma nodokļa ieņēmumus klasificējas kā
iedzīvotāju ienākuma nodokļa dotācija, kas jāatspoguļo valsts
budžeta transfertu sadaļā.
• Precizēta valsts mērķdotācija mācību līdzekļu iegādei
izglītības iestādēm 117'542 euro ieņēmumu sadaļā un
izdevumu sadaļā pie attiecīgās izglītības iestādes:
o Pirmsskolas izglītības iestāde (PII) "Piejūra"
3'025 euro;
o PII "Mežavēji" 2'646 euro;
o PII "Riekstiņš" 3'703 euro;
o PII "Strautiņš" 6'809 euro;
o Ādažu vidusskolas PII 1'940 euro;
o PII "Piejūra" 4'903 euro;
o Ādažu vidusskola 72'988 euro;
o Carnikavas vidusskola 24'553 euro.
• Zivju fonda padome ir atbalstījusi Ādažu pašvaldības
iesniegto projektu "Zivju resursu aizsardzības pasākumu
īstenošana Ādažu novadā" 15'586 euro, ko realizēs
pašvaldības policija.
• Paredzēti 4'455 euro Valsts izglītības attīstības
aģentūras atbalstītais finansējums ieņēmumu daļā un izdevumu daļā
atbalstam Ukrainas un Latvijas bērnu un jauniešu nometnēm, ko
realizē Izglītības un jaunatnes nodaļa.
• Precizēta projekta "Mobilitātes punkta infrastruktūras
izveidošana Rīgas metropoles areālā - "Carnikava""
naudas plūsma, paredzot 2025. gadā realizēt lielākā apjomā, kā
rezultātā budžetā plānots aizņēmuma apjoma palielinājums par
59'988 euro un izdevumos palielināta projekta izmaksu
summa tādā pašā apjomā.
• Sporta centra POS termināla nomas maksas plānotā summa 650
euro pārcelta no pārvaldes tāmes uz Sporta centra
tāmi.
• saskaņā ar Ādažu novada pašvaldības Finanšu komitejā
atbalstīto lēmumu 2025. gada 21. maijā pārcelti 8'000 euro
no Centrālās pārvaldes Nekustamā īpašuma nodaļas budžeta uz PA
"Carnikavas komunālserviss" budžeta dotāciju veikala
ēkas nojaukšanai pašvaldības īpašumā Kalmju ielā 2,
Carnikavā.
• Projekta "SAM 5.1.1. Pretplūdu pasākumi Ādažu centra
polderī, Ādažu novadā" pēdējais maksājums
191'255 euro novirzīts no projekta izdevumu sadaļas
Valsts kases aizņēmuma atmaksai. Šis maksājums izdevumu sadaļā
bija plānots garantijas maksājumam uzņēmumam, kas realizēja
projektu, taču garantija netika saņemta, līdz ar to maksājums
garantijas termiņa beigās būs 2029. gadā.
• izdevumu sadaļā 14'715 euro pārcelts no
ekonomijas Sporta centra ventilācijas sistēmu tīrīšanai uz Ādažu
vidusskolas siltināšanas procesā konstatēto papildus darbu
veikšanai.
• izdevumu sadaļā 1'321 euro pārcelts no ekonomijas
Sporta centra ventilācijas sistēmu tīrīšanai uz Ādažu vidusskolu
karstā cirkulācijas sūkņa nomaiņai.
Kopumā Ādažu novada pašvaldības domes budžeta grozījumi paredz
ieņēmumu palielinājumu par 137'583 euro, nosakot
budžeta ieņēmumus 61'987'173 euro apmērā. Saskaņā ar šiem
Ādažu novada pašvaldības domes budžeta grozījumi paredz izdevumu
daļas palielinājumu par 6'316 euro, nosakot budžeta
izdevumus 71'626'326 euro. Plānoto aizņēmumu apjoms 2025.
gadā plānots 6'668'106 euro apmērā, un aizņēmumu
pamatsummas atmaksa 2025. gadā plānota 3'658'289 euro
apmērā.
Ādažu novada pašvaldības domes
priekšsēdētāja K. Miķelsone