Ādažu novada pašvaldības domes saistošie
noteikumi Nr. 23/2024
Ādažos 2024. gada 25. aprīlī
Grozījumi Ādažu novada pašvaldības
domes 2023. gada 28. decembra saistošajos noteikumos
Nr. 52/2023 "Par Ādažu novada pašvaldības budžetu
2024. gadam"
APSTIPRINĀTI
ar Ādažu novada pašvaldības domes
2024. gada 25. aprīļa sēdes lēmumu (prot. Nr. 9 § 37)
Izdoti saskaņā ar
Pašvaldību likuma 10. panta pirmās daļas
1. punktu un 48. pantu, likuma "Par pašvaldību
budžetiem"
16. un 17. pantu un likuma "Par budžetu un finanšu
vadību" 6. pantu
Izdarīt Ādažu novada pašvaldības domes 2023. gada 28. decembra
saistošajos noteikumos Nr. 52/2023 "Par Ādažu novada
pašvaldības budžetu 2024. gadam" šādus grozījumus:
1. Izteikt noteikumu 2. punkta 2.3., 2.3.1., 2.3.2., 2.3.3. un
2.3.4. apakšpunktus šādā redakcijā:
2.3. "pamatbudžets 2024. gadā (1. pielikums):
| 2.3.1. ieņēmumi |
- EUR 51 844 623; |
| 2.3.2. izdevumi |
- EUR 59 826 407; |
| 2.3.3. plānotie aizņēmumi |
- EUR 1 941 929; |
2.3.4. atmaksājamā summa Valsts kases kredītiem
| (2. pielikums) |
- EUR 3 657 198". |
Ādažu novada pašvaldības domes
priekšsēdētāja K. Miķelsone
1. pielikums
Ādažu novada pašvaldības domes
2024. gada 25. aprīļa saistošajiem noteikumiem
Nr. 23/2024 "Grozījumi Ādažu novada pašvaldības domes
2023. gada 28. decembra saistošajos noteikumos Nr. 52/2023
"Par Ādažu novada pašvaldības budžetu 2024. gadam"
Pamatbudžets 2024. gadam
IEŅĒMUMU
DAĻA
|
Klasifikācijas kods |
Nr.p.k. |
Sadaļa |
28.03.2024. grozījumi |
25.04.2024. grozījumi |
Izmaiņas |
|
|
1.
- 5. |
Nodokļu ieņēmumi |
38 519 847 |
38 519 847 |
|
|
1.1.0.0. |
1. |
Iedzīvotāju ienākuma nodoklis |
35 276 996 |
35 276 996 |
|
| |
1.1. |
pārskata gada |
35 276 996 |
35 276 996 |
|
|
4.1.1.0. |
2. |
Nekustamā īpašuma nodoklis par zemi |
2 040 018 |
2 040 018 |
|
| |
2.1. |
pārskata gada |
1 900 000 |
1 900 000 |
|
| |
2.2. |
iepriekšējo gadu parādi |
140 018 |
140 018 |
|
|
4.1.2.0. |
3. |
Nekustamā īpašuma nodoklis par ēkām |
410 967 |
410 967 |
|
| |
3.1. |
pārskata gada |
350 989 |
350 989 |
|
| |
3.2. |
iepriekšējo gadu parādi |
59 978 |
59 978 |
|
|
4.1.3.0. |
4. |
Nekustamā īpašuma nodoklis par mājokļiem un
inženierbūvēm |
721 866 |
721 866 |
|
| |
4.1. |
pārskata gada |
650 000 |
650 000 |
|
| |
4.2. |
iepriekšējo gadu parādi |
71 866 |
71 866 |
|
|
5.5.3.0. |
5. |
Dabas resursu nodoklis |
70 000 |
70 000 |
|
|
9.0.0.0. |
6. |
Valsts (pašvaldību) un kancelejas nodevas |
160 000 |
160 000 |
|
| |
6.1. |
valsts nodevas |
6 700 |
6 700 |
|
| |
6.1.1. |
t.sk.: - par apliecinājumiem
un citu funkciju pildīšanu bāriņtiesā |
1 700 |
1 700 |
|
| |
6.1.2. |
t.sk.: - par civilstāvokļa
aktu reģistrēšanu, grozīšanu un papildināšanu |
4 500 |
4 500 |
|
| |
6.1.3. |
t.sk.: - pārējās valsts
nodevas, kuras ieskaita pašvaldību budžetā |
500 |
500 |
|
| |
6.2. |
pašvaldību nodevas |
153 300 |
153 300 |
|
| |
6.2.1. |
t.sk.: - nodeva par domes
izstrādāto oficiālo dokumentu saņemšanu |
350 |
350 |
|
| |
6.2.2. |
t.sk.: - nodeva par
izklaidējoša rakstura pasākumu sarīkošanu publiskās
vietās |
1 100 |
1 100 |
|
| |
6.2.3. |
t.sk.: - nodeva par
tirdzniecību publiskās vietās |
27 000 |
27 000 |
|
| |
6.2.4. |
t.sk.: - nodeva par dzīvnieku
turēšanu |
- |
- |
|
| |
6.2.5. |
t.sk.: - nodeva par reklāmas,
afišu un sludinājumu izvietošanu publiskās vietās |
11 500 |
11 500 |
|
| |
6.2.6. |
t.sk.: - nodeva par
būvatļaujas saņemšanu |
106 350 |
106 350 |
|
| |
6.2.7. |
t.sk.: - pārējās nodevas |
7 000 |
7 000 |
|
|
10.0.0.0. |
7. |
Naudas sodi un sankcijas |
65 000 |
65 000 |
|
| |
7.1. |
Naudas sodi un sankcijas |
31 000 |
31 000 |
|
| |
7.2. |
Naudas sodi par pārkāpumiem
ceļu satiksmē |
34 000 |
34 000 |
|
|
12.0.0.0. |
8. |
Pārējie nenodokļu ieņēmumi |
25 797 |
35 106 |
9 309 |
| |
8.1. |
citi nenodokļu ieņēmumi |
19 344 |
28 653 |
9 309 |
| |
8.2. |
līgumsodi un procentu
maksājumi par saistību neizpildi |
500 |
500 |
|
| |
8.3. |
ieņēmumi no zvejas tiesību
nomas |
5 953 |
5 953 |
|
|
13.0.0.0. |
9. |
Ieņēmumi no pašvaldības īpašumu pārdošana |
5 856 |
28 951 |
23 095 |
|
18.6.0.0. |
10. |
Valsts budžeta transferti un projektu finansējums |
10 715 183 |
10 765 964 |
50 781 |
|
|
10.1. |
Valsts budžeta
transferti |
9 468 249 |
9 519 030 |
50 781 |
| |
10.1.1. |
dotācija mākslas skolas
algām |
793 713 |
793 713 |
|
| |
10.1.2. |
dotācija sporta skolai |
291 625 |
291 625 |
|
| |
10.1.3. |
dotācija skolēnu
ēdināšanai |
249 276 |
249 276 |
|
| |
10.1.4. |
dotācija mācību grāmatām |
112 839 |
112 839 |
|
| |
10.1.5. |
dotācijas pedagogu algām
(vsk., PII) |
6 646 187 |
6 646 187 |
|
| |
10.1.5.1. |
t.sk.: - piecgadīgo bērnu
apmācība |
1 100 762 |
1 100 762 |
|
| |
10.1.5.2. |
t.sk.: - skolotāju algām |
5 109 846 |
5 109 846 |
|
| |
10.1.5.3. |
t.sk.: - interešu
izglītība |
435 579 |
435 579 |
|
| |
10.1.6. |
dotācija māksliniecisko
kolektīvu vadītāju atalgojumam |
13 088 |
13 088 |
|
| |
10.1.7. |
Projekts "Skolas
soma" Ādaži |
40 660 |
40 660 |
|
| |
10.1.8. |
Projekts "Skolas
soma" Carnikava |
11 220 |
11 220 |
|
| |
10.1.9. |
dotācija asistenta
pakalpojumu nodrošināšanai |
501 000 |
501 000 |
|
| |
10.1.10. |
valsts dotācija ceļu
uzturēšanai |
406 769 |
406 769 |
|
| |
10.1.11. |
dotācijas Ukrainas pilsoņu
atbalstam |
50 000 |
50 000 |
|
| |
10.1.12. |
dotācijas "Energoresursu
atbalsts" |
200 000 |
200 000 |
|
| |
10.1.13. |
pārējās dotācijas |
151 872 |
202 653 |
50 781 |
| 18.6.3.0. |
10.2. |
ES struktūrfondu līdzekļi un
aktivitāšu līdzfinansējumi |
1 246 934 |
1 246 934 |
|
| |
10.2.1. |
Plūdu risku projekts |
92 966 |
92 966 |
|
| |
10.2.2. |
Pastaigu taka gar Baltezera
kanālu |
63 988 |
63 988 |
|
| |
10.2.3. |
LAD, Jūras Zeme projekts,
Mākslu skolas ārtelpas projekts Garā iela 20, Carnikavā |
2 532 |
2 532 |
|
| |
10.2.4. |
Publiskās ārtelpas izveide
Gaujas ielā 31 Ādažos |
5 135 |
5 135 |
|
| |
10.2.5. |
Projekts "Eiropas
pilsētu iniciatīva" |
9 000 |
9 000 |
|
| |
10.2.6. |
Projekts jauniešu asociāciju
federācija Eiropas mobilitātei. CERV programmas projekts
"YOUTth and democracy: empowering Europe's next
generation" |
6 010 |
6 010 |
|
| |
10.2.7. |
Projekts par energokopienām.
Magliano Alpi pašvaldības Itālijā CERV Town Twinning
programmas projekta ietvaros |
30 655 |
30 655 |
|
| |
10.2.8. |
Dalība atveseļošanas un
noturības mehānisma pasākumā "Atbalsta pasākumi
cilvēkiem ar invaliditāti mājokļu vides pieejamības
nodrošināšanai" |
18 299 |
18 299 |
|
| |
10.2.9. |
ERASMUS + projekti |
150 645 |
150 645 |
|
| |
10.2.10. |
"Mobilitātes punkta
infrastruktūras izveidošana Rīgas metropoles areālā -
"Carnikava"" |
118 650 |
118 650 |
|
| |
10.2.11. |
Maģistrālā veloceļa izbūve
Rīga-Carnikava |
390 462 |
390 462 |
|
| |
10.2.12. |
EKII projekts |
358 592 |
358 592 |
|
|
19.2.0.0. |
11. |
Pašvaldību budžeta transferti |
295 000 |
295 000 |
|
| |
11.1. |
no citām pašvaldībām
izglītības funkciju nodrošināšanai |
295 000 |
295 000 |
|
|
21.0.0.0. |
12. |
Budžeta iestāžu ieņēmumi |
1 974 755 |
1 974 755 |
|
| |
12.1. |
maksa par izglītības
pakalpojumiem |
149 000 |
149 000 |
|
| |
12.1.1. |
ieņēmumi no vecāku maksām
(PII) |
24 000 |
24 000 |
|
| |
12.1.2. |
ieņēmumi no vecāku maksām
(ĀNMS, BJSS) |
125 000 |
125 000 |
|
| |
12.2. |
ieņēmumi par nomu un īri |
180 000 |
180 000 |
|
| |
12.2.1. |
ieņēmumi par telpu nomu |
143 000 |
143 000 |
|
| |
12.2.2. |
ieņēmumi par zemes nomu |
36 000 |
36 000 |
|
| |
12.2.3. |
pārējie ieņēmumi par
nomu |
1 000 |
1 000 |
|
| |
12.3. |
budžeta iestāžu maksas
pakalpojumi |
1 543 755 |
1 543 755 |
|
| |
12.3.1. |
budžeta iestāžu maksas
pakalpojumi |
135 600 |
135 600 |
|
| |
12.3.2. |
ieņēmumi no biļešu
realizācijas |
2 500 |
2 500 |
|
| |
12.3.3. |
ieņēmumi no dzīvokļu un
komunālajiem pakalpojumiem © |
1 405 655 |
1 405 655 |
|
| |
12.4. |
pārējie ieņēmumi/stāvvietu
ieņēmumi |
102 000 |
102 000 |
|
|
|
|
KOPĀ IEŅĒMUMI: |
51 761 438 |
51 844 623 |
83 185 |
|
F21010000 AS |
13. |
Naudas līdzekļu atlikums gada sākumā |
9 755 067 |
9 755 067 |
|
| |
13.1. |
Naudas atlikums iezīmētiem
mērķiem |
3 195 223 |
3 195 223 |
|
| |
13.2. |
Naudas atlikums pašvaldības
līdzekļi |
6 559 844 |
6 559 844 |
|
|
F40020010 |
14. |
Valsts Kases kredīti |
1 941 929 |
1 941 929 |
|
| |
14.1. |
Jaunas pirmsskolas izglītības
iestādes būvniecībai Podniekos |
541 742 |
541 742 |
|
| |
14.2. |
SAM 5.1.1. Pretplūdu pasākumi
Ādažu centra polderī, Ādažu novadā |
349 985 |
349 985 |
|
| |
14.3. |
Ādažu vidusskolas ēkas B
korpusa un savienojuma daļas starp korpusiem (C un B) fasādes
atjaunošana |
79 023 |
79 023 |
|
| |
14.4. |
Ādažu vidusskolas ēkas A
korpusa, savienojuma daļas starp korpusiem (A un B), kā arī,
vidusskolas centrālās daļas, tai skaitā torņa fasādes
atjaunošana. |
783 000 |
783 000 |
|
| |
14.5. |
EKII projekts |
188 179 |
188 179 |
|
|
|
KOPĀ PIEEJAMAIS FINANSĒJUMS: |
63 458 434 |
63 541 619 |
83 185 |
IZDEVUMU
DAĻA
| Klasifikācijas kods |
Nr.p.k. |
Sadaļa |
28.03.2024. grozījumi |
25.04.2024. grozījumi |
Izmaiņas |
|
01.000 |
1. |
Vispārējie valdības dienesti |
11
675 168 |
11
718 990 |
43
822 |
| |
1.1. |
pārvalde |
1 983 487 |
1 983 487 |
|
| |
1.2. |
deputāti |
376 850 |
376 850 |
|
| |
1.3. |
administratīvā komisija |
62 512 |
62 512 |
|
| |
1.4. |
iepirkumu komisija |
45 277 |
45 277 |
|
| |
1.5. |
vēlēšanu komisija |
16 272 |
67 053 |
50 781 |
| |
1.6. |
pārējās komisijas |
53 045 |
53 045 |
|
| |
1.7. |
aizņēmumu procentu
maksājumi |
2 229 302 |
2 229 302 |
|
| |
1.8. |
Iemaksas PFIF |
6 498 116 |
6 498 116 |
|
| |
1.9. |
Informācijas tehnoloģiju
nodaļa, vispārējas nozīmes dienestu darbība un pakalpojumi -
datortīkla uzturēšana |
410 307 |
403 348 |
-6 959 |
|
03.000 |
2. |
Sabiedriskā kārtība un drošība |
1 046
328 |
1 046
328 |
|
|
04.000 |
3. |
Ekonomiskā darbība |
587
548 |
587
548 |
|
| |
3.1. |
Sabiedriskās attiecības,
laikraksts |
179 686 |
179 026 |
|
| |
3.2. |
Autoceļu fonds |
407 862 |
408 522 |
|
|
05.000 |
4. |
Vides aizsardzība |
174
970 |
174
970 |
|
| |
4.1. |
Dabas resursu nodokļa
izlietojums |
174 970 |
174 970 |
|
|
06.000 |
5. |
Pašvaldības teritoriju un mājokļu apsaimniekošana |
14
591 725 |
14
665 800 |
74
075 |
| |
5.1. |
Izdevumi neparedzētiem gadījumiem |
70
000 |
70
000 |
|
| |
5.2. |
Būvvalde |
330
452 |
330
452 |
|
| |
5.3. |
Teritorijas plānošanas nodaļa |
393
055 |
393
055 |
|
| |
5.4. |
Attīstības un projektu nodaļa |
1 841
370 |
1 834
021 |
-7
349 |
| |
5.4.1. |
nodaļa |
698 938 |
723 229 |
24 291 |
| |
5.4.2. |
Projekts "Sabiedrība ar
dvēseli" |
40 000 |
40 000 |
|
| |
5.4.3. |
Iedzīvotāju iniciatīvas un
konkursi. |
15 094 |
15 094 |
|
| |
5.4.4. |
TEP "Atjaunojamo
energoresursu izmantošana Ādažu novadā" (EUCF) |
50 458 |
50 458 |
|
| |
5.4.5. |
"Mobilitātes punkta
infrastruktūras izveidošana Rīgas metropoles areālā -
"Carnikava"" |
145 650 |
114 010 |
-31 640 |
| |
5.4.6. |
Maģistrālā veloceļa izbūve
Rīga-Carnikava |
397 337 |
397 337 |
|
| |
5.4.7. |
Pastaigu taka gar Baltezera
kanālu |
207 440 |
207 440 |
|
| |
5.4.8. |
LAD, Jūras Zeme projekts,
Mākslu skolas ārtelpas projekts Garā iela 20, Carnikavā |
14 067 |
14 067 |
|
| |
5.4.9. |
Publiskās ārtelpas izveide
Gaujas ielā 31 Ādažos |
7 900 |
7 900 |
|
| |
5.4.10. |
Projekts "Eiropas
pilsētu iniciatīva" |
9 000 |
9 000 |
|
| |
5.4.11. |
Projekts jauniešu asociāciju
federācija Eiropas mobilitātei. CERV programmas projekts
"YOUTth and democracy: empowering Europe's next
generation" |
12 020 |
12 020 |
|
| |
5.4.12. |
Projekts par energokopienām.
Magliano Alpi pašvaldības Itālijā CERV Town Twinning
programmas projekta ietvaros |
30 655 |
30 655 |
|
| |
5.4.13. |
LIFE NewBauhaus projekts |
168 527 |
168 527 |
|
| |
5.4.14. |
ANM pasākuma "Atbalsta
pasākumi cilvēkiem ar invaliditāti mājokļu vides pieejamības
nodrošināšanai" projekts |
44 284 |
44 284 |
|
| |
5.5. |
Objektu un teritorijas apsaimniekošana un uzturēšana |
11
956 848 |
12
038 272 |
81
424 |
| |
5.5.1. |
Nekustamā īpašuma nodaļa |
1 199 200 |
1 199 200 |
|
| |
5.5.2. |
Vecštāles ceļa
rekonstrukcija |
1 875 165 |
1 875 165 |
|
| |
5.5.3. |
SAM 5.1.1. Pretplūdu pasākumi
Ādažu centra polderī, Ādažu novadā |
452 896 |
452 896 |
|
| |
5.5.4. |
Pašvaldības aģentūra
"Carnikavas Komunālserviss" |
1 574 037 |
1 574 037 |
|
| |
5.5.5. |
P/A "Carnikavas
komunālserviss" teritorijas un īpašumu
apsaimniekošana |
5 367 776 |
5 373 200 |
5 424 |
| |
5.5.6. |
Tirgus laukuma lietus
kanalizācijas izbūve Ādažos |
35 000 |
35 000 |
|
| |
5.5.7. |
Viršu ielas/atzars uz Sproģu
ielu asfaltbetona seguma atjaunošana posmā no Dzērveņu ielas
līdz Serģu iela (980 m) |
300 000 |
300 000 |
|
| |
5.5.8. |
Liepu alejas
rekonstrukcija |
263 703 |
263 703 |
|
| |
5.5.9. |
Dzirnupes ielas tilta
projekts, Carnikava |
17 500 |
17 500 |
|
| |
5.5.10. |
Draudzības iela posmā no
Saules ielai līdz Podnieku ielai ar ietvi 0.35 km |
255 000 |
255 000 |
|
| |
5.5.11. |
Attekas ielas turpinājums 0,5
km - projektēšana |
39 800 |
39 800 |
|
| |
5.5.12. |
Apgaismes stabi Attekas ielas
savienojumā no Ķiršu līdz Draudzības ielai. |
30 000 |
30 000 |
|
| |
5.5.13. |
EKII projekts |
546 771 |
546 771 |
|
| |
5.5.14. |
Kļavu ielā divkāršā virsmas
apstrāde 0.35 km |
|
55 000 |
55 000 |
| |
5.5.15. |
Mežmalas ielas seguma
vienkāršotā atjaunošana, 0.22km, Alderi |
|
21 000 |
21 000 |
|
08.000 |
6. |
Atpūta, kultūra un reliģija |
2 529
195 |
2 527
695 |
-1
500 |
| |
6.1. |
Kultūra |
1 326 358 |
1 334 858 |
8 500 |
| |
6.1.1. |
Ādažu kultūras centrs |
638 050 |
638 050 |
|
| |
6.1.2. |
Tautas nams
"Ozolaine" |
485 180 |
493 680 |
8 500 |
| |
6.1.3. |
Muzejs un Carnikavas
novadpētniecības centrs |
172 588 |
172 588 |
|
| |
6.1.4. |
Tūrisms |
30 540 |
30 540 |
|
| |
6.2. |
SAM 5.5.1. Kultūras objektu
būvniecība (maksājumi projekta partneriem) © |
195 755 |
195 755 |
|
| |
6.3. |
Ādažu bibliotēka |
153 395 |
153 395 |
|
| |
6.4. |
Carnikavas bibliotēka |
64 814 |
64 814 |
|
| |
6.5. |
Sporta daļa |
765 645 |
755 645 |
-10 000 |
| |
6.6. |
Evaņģēliski luteriskās
draudzes |
4 000 |
4 000 |
|
| |
6.7. |
Multihalle |
19 228 |
19 228 |
|
|
10.000 |
7. |
Sociālā aizsardzība |
3 834
372 |
3 806
675 |
-27
697 |
| |
7.1. |
Sociālais dienests |
2 756 987 |
2 756 987 |
|
| |
7.1.1. |
Sociālās funkcijas
nodrošināšana |
650 934 |
650 934 |
|
| |
7.1.2. |
Pabalsti |
1 598 833 |
1 598 833 |
|
| |
7.1.3. |
Mērķdotācija |
- |
- |
|
| |
7.1.4. |
Asistentu pakalpojumi |
501 000 |
501 000 |
|
| |
7.1.5. |
Sociālā centra
"Kadiķis" uzturēšana |
6 220 |
6 220 |
|
| |
7.2. |
Stipendiāti /
bezdarbnieki |
14 244 |
14 244 |
|
| |
7.3. |
SAM 9311
Deinstitucionalizācija - Dienas centrs |
659 230 |
631 533 |
-27 697 |
| |
7.3.1. |
DI centra uzturēšanas
izdevumi |
402 247 |
374 550 |
-27 697 |
| |
7.3.2. |
DI projekts- specializētās
darbnīcas |
48 400 |
48 400 |
|
| |
7.3.3. |
DI centra pakalpojumi
(projekts) |
208 583 |
208 583 |
|
| |
7.4. |
Bāriņtiesa |
139 599 |
139 599 |
|
|
|
7.5. |
Dotācijas "Energoresursu
atbalsts" |
200 000 |
200 000 |
|
|
|
7.6. |
Dotācijas Ukrainas pilsoņu
atbalstam |
50 000 |
50 000 |
|
|
|
7.7. |
SAM 9.2.4.2. projekts
"Pasākumi vietējās sabiedrības veselības veicināšanai
Ādažu novada pašvaldības Ādažu pagastā" |
10 226 |
10 226 |
|
|
|
7.8. |
SAM 9.2.4.2. projekts
"Pasākumi vietējās sabiedrības veselības veicināšanai
Ādažu novada pašvaldības Carnikavas pagastā" |
4 086 |
4 086 |
|
|
09.000 |
8. |
Izglītība |
25
311 613 |
25
298 401 |
-13
212 |
| |
8.1. |
Norēķini ar pašvaldību budžetiem par izglītības iestāžu
pakalpojumiem |
750
000 |
750
000 |
|
| |
8.2. |
Ādažu Pirmsskolas izglītības iestāde |
2 335
378 |
2 312
869 |
-22
509 |
| |
8.2.1. |
pedagogu algas, grāmatas
(mērķdotācija) |
421 677 |
421 677 |
|
| |
8.2.2. |
pārējās izmaksas |
1 607 425 |
1 584 916 |
-22 509 |
| |
8.2.3. |
uzturēšanas izmaksas
(CKS) |
306 276 |
306 276 |
|
| |
8.3. |
Kadagas PII |
1 432
166 |
1 426
182 |
-5
984 |
| |
8.3.1. |
pedagogu algas, grāmatas
(mērķdotācija) |
162 247 |
162 247 |
|
| |
8.3.2. |
pārējās izmaksas |
1 085 170 |
1 082 134 |
-3 036 |
| |
8.3.3. |
uzturēšanas izmaksas
(CKS) |
184 749 |
181 801 |
-2 948 |
|
|
8.4. |
Pirmsskolas izglītības iestāde "Riekstiņš" |
1 599
680 |
1 599
680 |
|
| |
8.4.1. |
pedagogu algas, grāmatas
(mērķdotācija) |
243 715 |
243 715 |
|
| |
8.4.2. |
pārējās izmaksas |
1 191 033 |
1 191 033 |
|
|
|
8.4.3. |
uzturēšanas izmaksas
(CKS) |
164 932 |
164 932 |
|
|
|
8.5. |
Pirmsskolas izglītības iestādes "Piejūra" |
1 456
118 |
1 451
590 |
-4
528 |
| |
8.5.1. |
pedagogu algas, grāmatas
(mērķdotācija) |
156 962 |
156 962 |
|
| |
8.5.2. |
pārējās izmaksas |
1 154 321 |
1 149 793 |
-4 528 |
|
|
8.5.3. |
uzturēšanas izmaksas
(CKS) |
144 835 |
144 835 |
|
|
|
8.6. |
Privātās izglītības iestādes |
2 827
823 |
2 827
823 |
|
|
|
8.7. |
Carnikavas pamatskola |
2 178
796 |
2 173
605 |
-5
191 |
| |
8.7.1. |
pedagogu algas, grāmatas
(mērķdotācija) |
1 239 539 |
1 239 539 |
|
| |
8.7.2. |
ēdināšana (mērķdotācija) |
54 247 |
54 247 |
|
| |
8.7.3. |
pārējās izmaksas |
574 524 |
569 333 |
-5 191 |
| |
8.7.4. |
uzturēšanas izmaksas
(CKS) |
283 797 |
283 797 |
|
| |
8.7.5. |
projekts "Skolas
soma" |
11 220 |
11 220 |
|
| |
8.7.6. |
projekti Erasmus+;
NordPlus |
15 469 |
15 469 |
|
|
|
8.8. |
Carnikavas stadiona rekonstrukcija |
121
415 |
121
415 |
|
|
|
8.9. |
Ādažu vidusskola |
8 859
712 |
8 880
712 |
21
000 |
| |
8.9.1. |
pedagogu algas, grāmatas
(mērķdotācija) |
4 407 640 |
4 407 640 |
|
| |
8.9.2. |
pārējās izmaksas |
978 686 |
999 686 |
21 000 |
| |
8.9.3. |
uzturēšanas izmaksas
(CKS) |
494 969 |
494 969 |
|
| |
8.9.4. |
projekts Erasmus+ |
266 093 |
266 093 |
|
| |
8.9.5. |
projekts "Skolas
soma" |
40 660 |
40 660 |
|
| |
8.9.6. |
Ādažu vidusskolas ēkas B
korpusa un savienojuma daļas starp korpusiem (C un B) fasādes
atjaunošana |
87 728 |
87 728 |
|
| |
8.9.7. |
Ādažu vidusskolas ēkas A
korpusa, savienojuma daļas starp korpusiem (A un B), kā arī,
vidusskolas centrālās daļas, tai skaitā torņa fasādes
atjaunošana. |
870 000 |
870 000 |
|
| |
8.9.8. |
sākumskolas uzturēšanas
izmaksas |
684 194 |
684 194 |
|
| |
8.9.9. |
sākumskolas uzturēšanas
izmaksas (CKS) |
275 489 |
275 489 |
|
| |
8.9.10. |
sākumskolas ēdināšana
(mērķdotācija) |
236 281 |
236 281 |
|
|
|
8.9.11. |
PII |
517
972 |
517
972 |
|
| |
8.9.11.1. |
- pedagogu algas
(mērķdotācija) |
140 817 |
140 817 |
|
| |
8.9.11.2. |
- uzturēšana |
350 392 |
350 392 |
|
| |
8.9.11.3. |
- uzturēšanas izmaksas
(CKS) |
26 763 |
26 763 |
|
|
|
8.10. |
Ādažu novada mākslu skola |
1 852
644 |
1 856
644 |
4
000 |
| |
8.10.1. |
pedagogu algas
(mērķdotācija) |
795 545 |
795 545 |
|
| |
8.10.2. |
pārējās izmaksas |
1 057 099 |
1 061 099 |
4 000 |
|
|
8.11. |
Sporta skola |
740
716 |
740
716 |
|
| |
8.11.1. |
pedagogu algas
(mērķdotācija) |
291 666 |
291 666 |
|
| |
8.11.2. |
Pašvaldības finansējums |
449 050 |
449 050 |
|
|
|
8.12. |
Izglītības un jauniešu lietu pārvalde |
482
391 |
482
391 |
|
|
|
8.13. |
Līdzfinansējums skolēnu dalībai konkursos |
3
000 |
3
000 |
|
|
|
8.14. |
ESF
projekts Atbalsts priekšlaicīgas mācību pārtraukšanas
samazināšanai |
16
121 |
16
121 |
|
|
|
8.15. |
ESF
projekts Karjeras atbalsts vispārējās un profesionālās
izglītības iestādēs © |
1
049 |
1
049 |
|
|
|
8.16. |
Valsts finansējums projektu konkursā "Atbalsts jaunatnes
politikas īstenošanai vietējā līmenī" projekts
"Mobilais darbs ar jaunatni Ādažu novadā" |
765 |
765 |
|
|
|
8.17. |
Jaunas pirmsskolas izglītības iestādes būvniecība
Podniekos |
637
343 |
637
343 |
|
|
|
8.18. |
VISA projekts "Atbalsts izglītojamo individuālo
kompetenču attīstībai" |
16
496 |
16
496 |
|
| |
8.18.1. |
Ādaži |
16 496 |
16 496 |
|
| |
8.18.2. |
Carnikava |
- |
- |
|
|
|
|
KOPĀ IZDEVUMI: |
59
750 919 |
59
826 407 |
75
488 |
|
F40020020 |
9. |
Kredītu pamatsummas atmaksa |
3 657
198 |
3 657
198 |
|
|
|
|
PAVISAM KOPĀ IZDEVUMI: |
63
408 117 |
63
483 605 |
75
488 |
|
F21010000 AB |
- |
Naudas līdzekļu atlikums uz gada beigām |
50
317 |
58
014 |
7
697 |
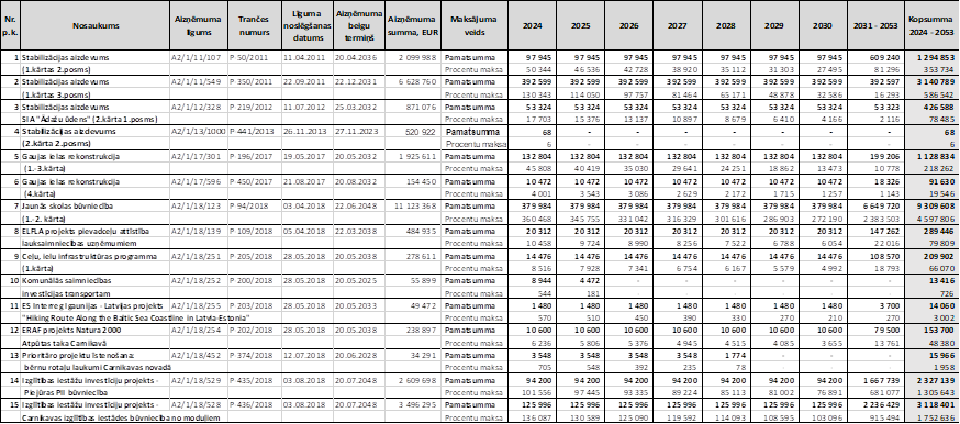
2. pielikums
Ādažu novada pašvaldības domes
2024. gada 25. aprīļa saistošajiem noteikumiem
Nr. 23/2024 "Grozījumi Ādažu novada pašvaldības domes
2023. gada 28. decembra saistošajos noteikumos Nr. 52/2023
"Par Ādažu novada pašvaldības budžetu 2024. gadam"
Aizņēmumu un citu ilgtermiņa
saistību pārskats





Ādažu novada pašvaldības domes
priekšsēdētāja K. Miķelsone
Paskaidrojuma raksts
Ādažu novada pašvaldības domes budžeta grozījumi 2024. gadam
apstiprināti 2024. gada 25. aprīlī. Budžeta grozījumi sastāv no
pamatbudžeta, kuru veido ieņēmumu, izdevumu daļas un aizņēmumu un
citu ilgtermiņa saistību pārskata. Pašvaldība ir ņēmusi vērā visu
funkciju vajadzības un sabalansējusi pieejamos finanšu līdzekļus
tā, lai nodrošinātu uzlabojumus sabiedrībai svarīgās jomās
saskaņā ar pašvaldības attīstības plānošanas dokumentos
noteiktajiem mērķiem.
Saistošie noteikumi paredz šādus grozījumus budžetā:
• Par 9'309 euro palielināta sadaļa "citi
nenodokļu ieņēmumi", konta atlikuma nakts depozīta ieņēmumu
rezultātā.
• Par 23'095 euro palielināta sadaļa
"Ieņēmumi no pašvaldības īpašuma pārdošana", balstoties
uz reālajiem ieņēmumiem nekustamo īpašumu izsoles rezultātā.
• Par 50'781 euro palielināta ieņēmumu un izdevumu
sadaļa, saskaņā ar vienošanos ar Centrālo vēlēšanu komisiju par
Eiropas Parlamenta vēlēšanu nodrošināšanu.
• Noslēdzoties gada 1. ceturksnim ir pārskatīta ekonomija
uz neaizpildītajām vakancēm, kas novirzīta uz kontu atlikumu, kas
kopsummā veido 89'292 euro.
• Lai realizētu uzņēmējdarbības veicināšanas programmas
projektu, veikti grozījumi, pārceļot finansējumu no mobilitātes
punkta infrastruktūras izveidošanas projekta, kuram apstiprināts
avanss no Eiropas līdzfinansējuma daļas. Pārcelti 5'000
euro uzņēmējdarbības projektam izmaksu ieguvumu analīzes
veikšanai un 26'640 euro tehniskā projekta
izstrādāšanai.
• No finanšu līdzekļu palielinājuma brīvajā konta
atlikumā, kas veidojās no ieņēmumu palielinājuma, izdevumu
samazinājuma, kas radās sporta daļas budžetā 10'000 euro
dēļ tā, ka ir atcelta Latvijas Jaunatnes Olimpiāde Valmierā un
ekonomijas atalgojuma sadaļās no neaizpildītajām vakancēm, tika
nolemts iekļaut sekojoša aktivitātes 2024. gada budžetā:
o 3'500 euro novirzīts uz dotāciju Carnikavas
komunālservisam hidromanipulatora kapitālajam remontam;
o 55'000 euro Kļavu ielas divkāršās virsmas apstrādei
0.35 km;
o 21'000 euro pašvaldības līdzfinansējumam Mežmalas
ielas seguma vienkāršotai atjaunošanai Alderos, 0.22 km;
o 8'500 euro tautas nama "Ozolaine"
lielās zāles grīdas seguma remontam;
o 21'000 euro novirzīts Ādažu vidusskolai 3 uzlādes
skapju un 16 datoru iegādei obligātā mācību procesa
nodrošināšanai;
o 15'000 euro novirzīts Ādažu Mākslu skolas sienu
un durvju aiļu izbūvei un mēbeļu un aprīkojuma iegādei jaunajās
telpās Garā ielā 20, Carnikavā (11'000 euro sienu un
durvju aiļu izbūvei iekļauts sadaļā "P/A "Carnikavas
komunālserviss" teritorijas un īpašumu apsaimniekošana"
un 4'000 euro aprīkojuma iegādei iekļauts sadaļā
"Ādažu novada Mākslu skola".
Budžeta grozījumu ietvaros ir veikti nepieciešamie grozījumi,
kas saistīti ar finansējuma iekšējo pārdali pa klasifikācijas
kodiem, apstiprināto tāmju ietvaros nodaļu un iestāžu darbības
nodrošināšanai.
Kopumā Ādažu novada pašvaldības domes budžeta grozījumi paredz
ieņēmumu palielinājumu par 83'185 euro, nosakot
budžeta ieņēmumus 51'844'623 euro un pamatbudžeta finanšu
līdzekļu atlikumu 2024. gada 1. janvārī 9'755'067
euro. Saskaņā ar šiem Ādažu novada pašvaldības domes
budžeta grozījumi paredz izdevumu daļas palielinājumu par 75'488
euro, nosakot budžeta izdevumus 59'826'407 euro.
Plānoto aizņēmumu apjoms 2024. gadā 1'941'929 euro
apmērā, un aizņēmumu pamatsummas atmaksa 2024. gadā 3'657'198
euro apmērā.
Ādažu novada pašvaldības domes
priekšsēdētāja K. Miķelsone