Ministru kabineta noteikumi Nr. 239
Rīgā 2022. gada 19. aprīlī (prot. Nr. 22 2.
§)
Grozījumi Ministru kabineta 2010.
gada 21. decembra noteikumos Nr. 1159 "Kārtība, kādā piešķir un
izmaksā izdienas pensijas Korupcijas novēršanas un apkarošanas
biroja amatpersonām"
Izdoti saskaņā ar Korupcijas novēršanas
un
apkarošanas biroja amatpersonu izdienas pensiju likuma
4. panta pirmo daļu un 8. panta sesto daļu
Izdarīt Ministru kabineta 2010. gada 21. decembra noteikumos
Nr. 1159 "Kārtība, kādā piešķir un izmaksā izdienas pensijas
Korupcijas novēršanas un apkarošanas biroja amatpersonām"
(Latvijas Vēstnesis, 2010, 204. nr.; 2013, 148. nr.) šādus
grozījumus:
1. Izteikt noteikumu nosaukumu šādā redakcijā:
"Kārtība,
kādā piešķir, aprēķina un izmaksā izdienas pensijas Korupcijas
novēršanas un apkarošanas biroja amatpersonām".
2. Izteikt tiesību akta izdošanas pamatojuma norādi šādā
redakcijā:
"Izdoti saskaņā ar Korupcijas novēršanas un apkarošanas biroja
amatpersonu izdienas pensiju likuma 4. panta pirmo daļu un 8.
panta sesto daļu".
3. Papildināt ar 7.1 punktu šādā
redakcijā:
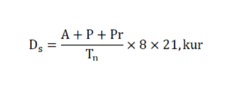
"7.1 Vidējo mēneša darba samaksu izdienas pensijas
piešķiršanai aprēķina, izmantojot šādu formulu:

Ds - vidējā mēneša darba samaksa;
A - aprēķinātā mēnešalgas kopsumma par pēdējiem 60 mēnešiem
(sākot ar pēdējo darba dienu);
P - aprēķinātā atlīdzību regulējošajos normatīvajos aktos
noteikto piemaksu kopsumma par pēdējiem 60 mēnešiem (sākot ar
pēdējo darba dienu);
Pr - aprēķinātā prēmiju un naudas balvu kopsumma par pēdējiem 60
mēnešiem (sākot ar pēdējo darba dienu);
Tn - faktiski nostrādātais laiks (stundās) pēdējos 60
mēnešos (sākot ar pēdējo darba dienu);
8 - normālais darba laiks (stundās);
21 - vidējais darba dienu skaits mēnesī."
4. Papildināt ar 7.2 punktu šādā
redakcijā:
"7.2 Šo noteikumu 7.1 punktā minētajā
faktiski nostrādātajā laikā neieskaita laiku, kad izdienas
pensijas pieprasītājs atradies dienestā, neieņemot noteiktu
amatu, ir bijis atvaļinājumā, nav pildījis amata pienākumus
pārejošas darbnespējas dēļ, Valsts un pašvaldību institūciju
amatpersonu un darbinieku atlīdzības likuma 3. panta ceturtajā
daļā un 26. panta pirmajā daļā minētajos gadījumos, Darba likuma
74. panta pirmajā un otrajā daļā minētajos gadījumos, kā arī
citos ārējos normatīvajos aktos noteiktajos attaisnotas
prombūtnes gadījumos."
5. Papildināt ar 7.3 punktu šādā
redakcijā:
"7.3 Vidējās mēneša darba samaksas aprēķinā neieskaita
samaksāto slimības naudu, samaksu par atvaļinājumu, samaksāto
atlīdzību Valsts un pašvaldību institūciju amatpersonu un
darbinieku atlīdzības likuma 3. panta ceturtajā daļā (izņemot 5.
punktā noteikto naudas balvu) un 26. panta pirmajā daļā minētajos
gadījumos, Darba likuma 74. panta pirmajā un otrajā daļā
minētajos gadījumos un citos ārējos normatīvajos aktos
noteiktajos attaisnotas prombūtnes gadījumos, kā arī izmaksas,
kas veiktas par iepriekšējiem laika periodiem."
Ministru prezidents A. K.
Kariņš
Ministru prezidenta vietā -
labklājības ministrs G. Eglītis