Ministru kabineta
noteikumi Nr.1131
Rīgā 2013.gada 15.oktobrī (prot.
Nr.54 47.§)
Grozījumi
Ministru kabineta 2008.gada 21.jūlija noteikumos Nr.576
"Noteikumi par darbības programmas "Infrastruktūra un
pakalpojumi" papildinājuma 3.2.2.1.1.apakšaktivitātes
"Informācijas sistēmu un elektronisko pakalpojumu
attīstība" projektu iesniegumu atlases pirmo
kārtu"
Izdoti saskaņā
ar Eiropas Savienības struktūrfondu un
Kohēzijas fonda vadības likuma 18.panta 10.punktu
1. Izdarīt Ministru kabineta 2008.gada 21.jūlija
noteikumos Nr.576 "Noteikumi par darbības programmas
"Infrastruktūra un pakalpojumi" papildinājuma
3.2.2.1.1.apakšaktivitātes "Informācijas sistēmu un
elektronisko pakalpojumu attīstība" projektu iesniegumu
atlases pirmo kārtu" (Latvijas Vēstnesis, 2008, 124.nr.;
2009, 88.nr.; 2010, 133.nr.; 2011, 204.nr.; 2012, 22., 156.nr.;
2013, 11., 174.nr.) šādus grozījumus:
1.1. aizstāt 6.punktā skaitli un vārdu
"60 411 235,71 lats" ar skaitli un vārdu
"60 242 294,84 lati";
1.2. papildināt I nodaļu ar 6.2 un 6.3
punktu šādā redakcijā:
"6.2 Apakšaktivitātei pieejamais Eiropas
Reģionālās attīstības fonda finansējums ir 137 940 020
euro. Projektu iesniegumu atlases pirmajai kārtai
pieejamais Eiropas Reģionālās attīstības fonda finansējums ir ne
vairāk kā 85 717 063,14 euro.
6.3 Pieejamais saistību apjoms, kas pārsniedz
apakšaktivitātei pieejamo Eiropas Reģionālās attīstības fonda
finansējumu, ir 56 785, 62 euro.";
1.3. aizstāt 13.2.apakšpunktā skaitli un vārdu
"1.pielikumam" ar skaitli un vārdu "1.1
pielikumam";
1.4. aizstāt 13.3.apakšpunktā skaitli un vārdu
"1.pielikumā" ar skaitli un vārdu "1.1
pielikumā";
1.5. izteikt 15.punktu šādā redakcijā:
"15. Minimālais projekta attiecināmo izmaksu apjoms
apakšaktivitātes ietvaros ir 150 000 euro,
maksimālais projekta attiecināmo izmaksu apjoms ir
5 000 000 euro.";
1.6. aizstāt 19.8.apakšpunktā skaitli un vārdu
"60 latu" (attiecīgā locījumā) ar skaitli un vārdu
"85,37 euro";
1.7. aizstāt 19.1 punktā skaitli un vārdu "60
latiem" ar skaitli un vārdu "85,37
euro";
1.8. aizstāt 25.punktā skaitli un vārdu "7 028 040
latiem" ar skaitli un vārdu "10 000 000
euro";
1.9. aizstāt 38.6.2.apakšpunktā skaitli un vārdu
"50 000 latu" ar skaitli un vārdu
"71 143,59 euro";
1.10. aizstāt 40.7.apakšpunktā vārdu "latos" ar
vārdu "euro";
1.11. papildināt noteikumus ar 57.9 punktu šādā
redakcijā:
"57.9 Šo noteikumu 6. un 6.1 punkts
un 1.pielikums ir spēkā līdz 2013.gada 31.decembrim.";
1.12. aizstāt 1.pielikuma rindā "Ārlietu ministrija"
skaitli "500 000,00" ar skaitli
"487 504,77";
1.13. aizstāt 1.pielikuma 2.punktā skaitli
"500 000,00" ar skaitli
"487 504,77";
1.14. aizstāt 1.pielikuma rindā "Izglītības un zinātnes
ministrija" skaitli "6 468 791,94" ar
skaitli "5 894123,43";
1.15. aizstāt 1.pielikuma 10.punktā skaitli
"3 084 968,08" ar skaitli
2 510 299,57";
1.16. aizstāt 1.pielikuma rindā "Labklājības
ministrija" skaitli "3 775 716,73" ar
skaitli "3 764 051,62";
1.17. aizstāt 1.pielikuma 18.punktā skaitli
"657 000,00" ar skaitli
"645 334,69";
1.18. aizstāt 1.pielikuma rindā "Vides aizsardzības un
reģionālās attīstības ministrija" skaitli
"17 509 488,81" ar skaitli
"17 991 360,75";
1.19. aizstāt 1.pielikuma 24.punktā skaitli
"2 014 446,00" ar skaitli
"2 514 446,00";
1.20. aizstāt 1.pielikuma 27.punktā skaitli
"2 324 000,00" ar skaitli
"2 305 871,94";
1.21. aizstāt 1.pielikuma rindā "Tieslietu
ministrija" skaitli "4 438 177,19" ar
skaitli "4 410 746,67";
1.22. aizstāt 1.pielikuma 36.punktā skaitli
"1 116 412,00" ar skaitli
"1 088 981,48";
1.23. aizstāt 1.pielikuma rindā "Zemkopības
ministrija" skaitli "3 894 001,00" ar
skaitli "3 869 447,56";
1.24. aizstāt 1.pielikuma 41.punktā skaitli
"2 535 000,00" ar skaitli
"2 510 446,56";
1.25. papildināt noteikumus ar 1.1 pielikumu šādā
redakcijā:
"1.1 pielikums
Ministru kabineta
2008.gada 21.jūlija
noteikumiem Nr.576
Finansējuma
sadalījums pa projektiem pa nozaru ministrijām un to pakļautībā
un pārraudzībā esošajām institūcijām 3.2.2.1.1.apakšaktivitātes
"Informācijas sistēmu un elektronisko pakalpojumu
attīstība" ietvaros
|
Nr.
p.k.
|
Projekta tēma
|
Par projekta īstenošanu
atbildīgā institūcija
|
Projekta attiecināmo izmaksu
apjoms (euro)
|
| Aizsardzības ministrija |
1 414
583,66
|
| 1. |
Valsts ģeotelpisko
pamatdatu informācijas infrastruktūras izveide |
Valsts aģentūra
"Latvijas Ģeotelpiskās informācijas aģentūra" |
1 414 583,66
|
| Ārlietu ministrija |
693
656,79
|
| 2. |
Vienotās ārlietu
dienesta dokumentu vadības sistēmas uzlabojumi un
papildinājumi, gatavojoties Latvijas prezidentūrai Eiropas
Savienībā |
Ārlietu
ministrija |
693 656,79
|
| Ekonomikas ministrija |
2 701
348,16
|
| 3. |
Būvniecības
informācijas sistēmas izstrāde |
Ekonomikas
ministrija |
2 701 348,16
|
| Finanšu ministrija |
1 004
452,27
|
| 4. |
Akcīzes preču
pārvietošanas un kontroles sistēmas ieviešana |
Valsts ieņēmumu
dienests |
1 004 452,27
|
| Iekšlietu ministrija |
6 715
810,92
|
| 5. |
Biometrijas datu
apstrādes sistēmas izveide |
Iekšlietu
ministrijas Informācijas centrs |
4 940 850,93
|
| 6. |
Vienotais notikumu
reģistrs |
Valsts policija |
701 132,99
|
| 7. |
VUGD apmācības
informācijas sistēmas pilnveidošana |
Valsts ugunsdzēsības
un glābšanas dienests |
362 391,09
|
| 8. |
Robežapsardzības
informācijas sistēmas "RAIS 2009" izstrāde |
Valsts
robežsardze |
711 435,91
|
| Izglītības un zinātnes
ministrija |
8 386
582,08
|
| 9. |
Valsts izglītības
informācijas sistēma - 2.kārta |
Izglītības un
zinātnes ministrija |
2 492 199,93
|
| 10. |
Portāla
www.skolas.lv attīstība - 2.kārta |
Izglītības un
zinātnes ministrija |
3 571 834,50
|
| 11. |
Valsts pārbaudījumu
informācijas sistēma - 2.kārta |
Izglītības un
zinātnes ministrija |
2 322 547,65
|
| Kultūras ministrija |
14 504
382,67
|
| 12. |
Digitālās
bibliotēkas izveide - 2.kārta |
Latvijas Nacionālā
bibliotēka |
3 812 366,78
|
| 13. |
Nacionālā muzeju
krājuma kopkataloga (NMKK) pilnveidošana - 2.kārta |
Valsts aģentūra
"Kultūras informācijas sistēmas" |
2 833 011,39
|
| 14. |
Vienotās valsts
arhīvu informācijas sistēmas izstrāde un ieviešana -
2.kārta |
Valsts aģentūra
"Kultūras informācijas sistēmas" |
4 973 130,20
|
| 15. |
Digitālās
bibliotēkas pakalpojumu attīstība |
Latvijas Nacionālā
bibliotēka |
1 422 871,81
|
| 16. |
Kultūras un atmiņas
institūciju vienotās informācijas pārvaldības sistēma |
Valsts aģentūra
"Kultūras informācijas sistēmas" |
1 463 002,49
|
| Labklājības ministrija |
5 355
762,94
|
| 17. |
Arhīva datu
digitalizācija un e-pakalpojumu ieviešana |
Veselības un
darbspēju ekspertīzes ārstu valsts komisija |
775 416,97
|
| 18. |
Valsts darba
inspekcijas informatīvās sistēmas pilnveidošana un
e-pakalpojumu ieviešana |
Valsts darba
inspekcija |
918 228,82
|
| 19. |
Sociālās politikas
monitoringa sistēmas pilnveide - SPP vienotās informācijas
sistēmas izstrāde, ieviešana un e-pakalpojumu
attīstīšana |
Labklājības
ministrija |
2 358 481,17
|
| 20. |
Sociālās
apdrošināšanas informācijas sistēmas pilnveidošana |
Valsts sociālās
apdrošināšanas aģentūra |
1 303 635,98
|
| Vides aizsardzības un reģionālās
attīstības ministrija |
25 599
400,05
|
| 21. |
Pašvaldību funkciju
atbalsta sistēmas izveide - 1.kārta |
Valsts aģentūra
"Valsts reģionālās attīstības aģentūra" |
1 861 116,33
|
| 22. |
Elektronisko
iepirkumu sistēmas e-katalogu funkcionalitātes attīstība |
Valsts aģentūra
"Valsts reģionālās attīstības aģentūra" |
2 783 628,91
|
| 23. |
E-pakalpojumi un to
infrastruktūras attīstība |
Valsts aģentūra
"Valsts reģionālās attīstības aģentūra" |
2 748 069,17
|
| 24. |
Vienotā ģeotelpiskās
informācijas portāla izveidošana un nozaru ĢIS
sasaiste ar portālu |
Valsts aģentūra
"Valsts reģionālās attīstības aģentūra" |
3 577 734,33
|
| 25. |
Pašvaldību
teritorijas attīstības plānošanas, infrastruktūras un
nekustamo īpašumu pārvaldības un uzraudzības informācijas
sistēmas - 1.kārta |
Valsts aģentūra
"Valsts reģionālās attīstības aģentūra" |
1 919 778,89
|
| 26. |
Publiskās pārvaldes
dokumentu pārvaldības sistēmu integrācijas vides izveide |
Valsts aģentūra
"Valsts reģionālās attīstības aģentūra" |
3 775 914,76
|
| 27. |
Pašvaldību funkciju
atbalsta sistēma - 2.kārta |
Valsts aģentūra
"Valsts reģionālās attīstības aģentūra" |
3 280 960,18
|
| 28. |
Pašvaldību
teritorijas attīstības plānošanas, infrastruktūras un
nekustamo īpašumu pārvaldības un uzraudzības informācijas
sistēmas ieviešana novados - 2.kārta |
Valsts aģentūra
"Valsts reģionālās attīstības aģentūra" |
1 245 012,83
|
| 29. |
Valsts vides
dienesta informācijas sistēmas izveidošana |
Valsts vides
dienests |
944 871,43
|
| 30. |
Īpaši aizsargājamo
dabas teritoriju aizsardzības un apsaimniekošanas pasākumu
elektronizācija |
Dabas aizsardzības
pārvalde |
346 949,01
|
| 31. |
Vienotas vides
informācijas sistēmas izveide - 2.posms |
Valsts vides
dienests |
3 115 364,21
|
| Satiksmes ministrija |
300
637,94
|
| 32. |
Valsts aģentūras
"Civilās aviācijas aģentūra" informācijas
tehnoloģiju sistēmas konsolidācija un integrācija |
Valsts aģentūra
"Civilās aviācijas aģentūra" |
300
637,94
|
| Tieslietu ministrija |
6 275
927,10
|
| 33. |
Valsts zemes
dienesta ģeotelpisko datu ģeotelpiskās informācijas sistēmas
izveide |
Valsts zemes
dienests |
3 273 316,60
|
| 34. |
Valsts informācijas
sistēmas "Uzturlīdzekļu garantiju fonda iesniedzēju un
parādnieku reģistrs" pilnveidošana |
Uzturlīdzekļu
garantiju fonda administrācija |
623 476,70
|
| 35. |
Vienota
civilstāvokļa aktu reģistrācijas informācijas sistēma |
Tieslietu
ministrija |
829 652,75
|
| 36. |
Tieslietu
ministrijas un tās padotībā esošo iestāžu arhīvu sagatavošana
elektronisko pakalpojumu sniegšanai - 1.kārta |
Tiesu
administrācija |
1 549 481,05
|
| Veselības ministrija |
7 315
576,32
|
| 37. |
Elektronisko recepšu
informācijas sistēmas izveides pirmais posms |
Nacionālais
veselības dienests |
576 263,08
|
| 38. |
Nozares vienotās
uzraudzības informācijas sistēmas izstrāde - 1.posms |
Veselības
inspekcija |
325 629,64
|
| 39. |
Elektroniskas
apmeklējumu rezervēšanas izveide (e-booking),
veselības aprūpes darba plūsmu elektronizēšana
(e-referrals) - 1.posms, sabiedrības veselības portāla
izveide, informācijas drošības un personas datu aizsardzības
nodrošināšana |
Nacionālais
veselības dienests |
2 888 312,94
|
| 40. |
Elektroniskās
veselības kartes un integrācijas platformas informācijas
sistēmas izveide -1.posms |
Nacionālais
veselības dienests |
3 525 370,66
|
| Zemkopības ministrija |
5 505
727,86
|
| 41. |
Zemkopības
ministrijas un tās padotībā esošo iestāžu uz klientu
orientētas pakalpojumu sistēmas izveide |
Zemkopības
ministrija |
3 572 043,65
|
| 42. |
Zemkopības
ministrijas un tās padotībā esošo iestāžu vienotas
informācijas telpas izveide |
Zemkopības
ministrija |
1 933 684,21"
|
1.26. aizstāt 2.pielikumā apzīmējumu "LVL" ar vārdu
"euro";
1.27. izteikt 4.pielikuma 5.punktu šādā redakcijā:
| "5. |
Projekta
izmaksas uz vienu labuma guvēju ir: |
|
| 5.1. |
<1,42
euro |
10
|
| 5.2. |
1,42 ≤...<14,23
euro |
8
|
| 5.3. |
14,23 ≤...<56,91
euro |
6
|
| 5.4. |
56,91 ≤...<142,29
euro |
4
|
| 5.5. |
>142,29
euro |
2
|
| |
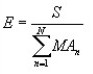
Rādītāju aprēķina, izmantojot formulu:
 |
, kur |
E - izmaksas uz vienu labuma guvēju;
S - projekta kopējās izmaksas;
MA - pakalpojuma labumu guvēju skaits;
N - kopējais pakalpojumu skaits;
n - pakalpojuma kārtas skaitlis;
Ja projekta ietvaros netiek veidots jauns e-pakalpojums
vai netiek paaugstināta esoša e-pakalpojuma
elektronizācijas pakāpe, vai arī netiek paplašināta esošā
e-pakalpojuma funkcionalitāte, vērtējums šajā kritērijā ir
nulle (0)"
|
1.28. aizstāt 4.pielikuma 6.2.apakšpunktā skaitli un
apzīmējumu "50 000 LVL" ar skaitli un vārdu
"71 143,59 euro".
2. Šo noteikumu 1.2., 1.3., 1.4., 1.5., 1.6., 1.7., 1.8.,
1.9., 1.10., 1.25., 1.26., 1.27. un 1.28.apakšpunkts stājas spēkā
2014.gada 1.janvārī.
Ministru prezidents Valdis
Dombrovskis
Vides aizsardzības un
reģionālās attīstības ministrs Edmunds Sprūdžs