Ministru kabineta noteikumi
Nr.148
Rīgā 2005.gada 22.februārī (prot.
Nr.10 43.§)
Grozījumi Ministru kabineta
2001.gada 27.februāra noteikumos Nr.86 "Noteikumi par obligātajām
nekaitīguma prasībām pārtikai, kurā izmantotas pārtikas
piedevas"
Izdoti saskaņā
ar Pārtikas aprites uzraudzības likuma 4.panta otro daļu un
13.panta trešo daļu
1. Izdarīt Ministru kabineta
2001.gada 27.februāra noteikumos Nr.86 "Noteikumi par obligātajām
nekaitīguma prasībām pārtikai, kurā izmantotas pārtikas piedevas"
(Latvijas Vēstnesis, 2001, 35.nr.; 2002, 97.nr.; 2004, 68.nr.)
šādus grozījumus:
1.1. izteikt 2.25.apakšpunktu
šādā redakcijā:
"2.25. stabilizētāji -
vielas, kas notur nemainīgu pārtikas produkta fizikālo un ķīmisko
stāvokli un spēj noturēt pārtikas produktā savstarpēji
nesajaucamu vielu homogēnu izkliedi, kā arī stabilizē, saglabā
vai intensificē pārtikas produkta krāsu un palielina pārtikas
saistīšanās spēju, veidojot šķērssaites starp olbaltumvielām, kas
dod iespēju sasaistīt atsevišķas pārtikas daļas.";
1.2. papildināt noteikumus ar
8.1 punktu šādā redakcijā:
"8.1 Pārtikas
piedevas ir atļautas pārtikā, kurai pievienots aromatizētājs,
tādā daudzumā, kādā attiecīgā piedeva atļauta aromatizētājā un
tiek pārnesta pārtikā kopā ar aromatizētāju, ar nosacījumu, ka
piedevai nav tehnoloģiskas funkcijas gala produktā. Piedevu
saturs aromatizētājā ierobežojams ar minimumu, kāds nepieciešams,
lai garantētu aromatizētāju nekaitīgumu un kvalitāti un
atvieglotu to glabāšanu. Piedevu klātbūtne aromatizētājos
nedrīkst maldināt patērētājus vai apdraudēt viņu veselību. Ja
piedevas klātbūtnei aromatizētāju pievienošanas dēļ ir
tehnoloģiska funkcija pārtikas produktā, to uzskata par piedevu
pārtikas produktā, nevis par piedevu aromatizētājā.";
1.3. izteikt 22.punktu šādā
redakcijā:
"22. Poliolus un/vai
aspartāmu saturošu galda saldinātāju marķējumā jābūt
brīdinājumiem:
22.1. polioliem - "pārmērīga
lietošana var izraisīt caureju'';
22.2. aspartāmam - "satur
fenilalanīnu'';
22.3. aspartāma-acesulfāma
sālim 1 - "satur fenilalanīnu".";
1.4. papildināt noteikumus ar
26., 27., 28., 29. un 30.punktu šādā redakcijā:
"26. Noteikumu 1.pielikuma
1.1.2.2.apakšpunktā un 14.1.4.3.apakšpunktā minētajiem
produktiem, kas ražoti līdz 2005.gada 29.jūlijam, E 952
(ciklāmskābe un ciklamāti) maksimālā norma drīkst būt
400 mg/l. Šādus produktus drīkst izplatīt līdz 2006.gada
29.janvārim.
27. Līdz 2005.gada 29.jūlijam
drīkst ražot šo noteikumu 1.pielikuma 5.2.3.apakšpunktā un
5.3.3.apakšpunktā minētos produktus, kas satur E 952 (ciklāmskābe
un ciklamāti), ja ievērotas šo noteikumu prasības, kas bija spēkā
līdz 2005.gada 11.martam. Šādus produktus drīkst izplatīt līdz
2006.gada 29.janvārim.
28. Pārtikas piedevas
E 230 (bifenils, difenils), E 231 (ortofenilfenols) un
E 232 (nātrija ortofenilfenols) pārtikas ražošanā drīkst
izmantot līdz 2006.gada 27.janvārim un izplatīt, līdz beidzas
krājumi, kas saražoti līdz 2006.gada 27.janvārim.
29. Pārtikas piedevas
E 338-E 452 (fosforskābe un fosfāti) 2 g/l ābolu
un bumbieru sidra ražošanā drīkst izmantot līdz 2006.gada
27.janvārim un izplatīt, līdz beidzas krājumi, kas saražoti līdz
2006.gada 27.janvārim.
30. Līdz 2006.gada
27.janvārim drīkst ražot šo noteikumu 1.pielikuma 5.1.3., 5.2.4.,
5.3.4., 7.2.4., 13.7.4., 14.1.5.2., 15.1.4. un 15.2.4.apakšpunktā
minētos produktus, kas satur E 903 (karnaubvasks), ja ievērotas
šo noteikumu prasības, kas bija spēkā līdz 2005.gada 11.martam.
Šādus produktus drīkst izplatīt līdz beidzas krājumi, kas
saražoti līdz 2006.gada 27.janvārim.";
1.5. papildināt informatīvo
atsauci uz Eiropas Savienības direktīvām ar 9., 10., 11., 12.,
13. un 14.apakšpunktu šādā redakcijā:
"9) Komisijas 2003.gada
27.oktobra Direktīvas 2003/95/EK, ar ko groza Direktīvu 96/77/EK,
ar ko nosaka īpašus tīrības kritērijus pārtikas piedevām, izņemot
krāsvielas un saldinātājus;
10) Eiropas Parlamenta un
Padomes 2003.gada 22.decembra Direktīvas 2003/114/EK, ar ko groza
Direktīvu 95/2/EK par pārtikas piedevām, kas nav krāsvielas vai
saldinātāji;
11) Eiropas Parlamenta un
Padomes 2003.gada 22.decembra Direktīvas 2003/115/EK, ar ko groza
Direktīvu 94/35/EK par saldinātājiem, kurus lieto pārtikas
produktos;
12) Komisijas 2004.gada
16.aprīļa Direktīvas 2004/45/EK, ar ko groza Direktīvu 96/77/EK,
ar ko nosaka īpašus tīrības kritērijus pārtikas piedevām, kas nav
krāsvielas un saldinātāji;
13) Komisijas 2004.gada
16.aprīļa Direktīvas 2004/46/EK, ar ko groza Direktīvu 95/31/EK
attiecībā uz E 955 sukralozi un E 962 aspartāma-acesulfāma
sāli;
14) Komisijas 2004.gada 16.aprīļa
Direktīvas 2004/47/EK, ar ko groza Direktīvu 95/45/EK attiecībā
uz jauktiem karotīniem (E 160 a (I) un beta-karotīnu (E 160 a
(II))).";
1.6. izteikt 1.pielikumu
jaunā redakcijā (1.pielikums);
1.7. izteikt 2.pielikumu
jaunā redakcijā (2.pielikums);
1.8. izteikt 4.pielikumu
jaunā redakcijā (3.pielikums);
1.9. izteikt 5.pielikuma 30. un
31.punktu šādā redakcijā:
|
"30.
|
E 160a (I) -
Jauktie karotīni
|
|
30.1.
|
Augu
karotīni
|
|
|
30.1.1.
|
Sinonīmi
|
CI pārtikas oranžais 5 (CI
food orange 5)
|
|
30.1.2.
|
Definīcija un iegūšanas
apraksts
|
Jauktos karotīnus iegūst no
dabīgā augu pārtikas materiāla, burkāniem, augu eļļām,
zāles, lucernas un nātres, ekstrahējot ar šķīdinātāju.
Galvenās krāsvielas ir karotinoīdi, no kuriem galvenā daļa
ir
β-karotīns. Var būt arī α- un γ-karotīni un
citi pigmenti. Bez krāsu pigmentiem šis produkts var
saturēt eļļas, taukus un vaskus, kas dabiski atrodas
izejmateriālā.
Ekstrakcijā var izmantot
tikai šādus šķīdinātājus: acetonu, metiletilketonu,
dihlormetānu, oglekļa dioksīdu, metanolu, etanolu,
propan-2-olu, heksānu (satur ne vairāk kā 0,05 %
benzola)
|
|
30.1.3.
|
Klase
|
Karotinoīds
|
|
30.1.4.
|
Krāsu indeksa numurs
|
75130
|
|
30.1.5.
|
EINECS numurs
|
230-636-6
|
|
30.1.6.
|
Ķīmiskā formula
|
C40H56
(β-karotīns)
|
|
30.1.7.
|
Molekulmasa
|
536,88 (β-karotīns)
|
|
30.1.8.
|
Pamatviela
|
Ne mazāk kā 5 % karotīnu
(aprēķinātu kā
β-karotīns). Produktiem, kas iegūti, ekstrahējot augu
eļļas, - ne mazāk kā 0,2 % pārtikas taukos.
= 2500
(pie 440-457 nm cikloheksāna šķīdumā)
|
|
30.1.9.
|
Identitātes pierādīšana -
spektrometrija
|
Absorbcijas maksimumi
cikloheksāna šķīdumā pie 440-457 nm un
470-486 nm
|
|
30.1.10.
|
Tīrības kritēriji:
|
|
|
30.1.10.1.
|
Šķīdinātāju atlikums:
acetons
propan-2-ols
metiletilketons
metanols
etanols
heksāns
|
 |
Ne vairāk kā 50 mg/kg,
atsevišķi vai kopā
|
|
dihlormetāns
|
Ne vairāk kā 10 mg/kg
|
|
30.1.10.2.
|
Svins
|
Ne vairāk kā 5 mg/kg
|
|
30.2.
|
Aļģu
karotīni
|
|
|
30.2.1.
|
Sinonīmi
|
CI pārtikas oranžais 5 (CI
food orange 5)
|
|
30.2.2.
|
Definīcija un iegūšanas
apraksts
|
Jauktos karotīnus var iegūt
arī no dabīgām Dunaliella salina dzimtas aļģēm, kas
aug lielos sāļezeros Vaialā, Dienvidaustrālijā.
β-karotīnu ekstrahē ar ēteriskām eļļām. Produkts ir 20
līdz 30 % suspensija pārtikas eļļā. Trans-cis izomēru
attiecība ir 50/50 līdz 71/29.
Galvenās krāsvielas ir
karotinoīdi, no kuriem galvenā daļa ir β-karotīns. Var
būt arī α-karotīns, luteīns, zeaksantīns un
β-kriptoksantīns. Bez krāsu pigmentiem šis produkts
var saturēt eļļas, taukus un vaskus, kas dabiski atrodas
izejmateriālā
|
|
30.2.3.
|
Klase
|
Karotinoīds
|
|
30.2.4.
|
Krāsu indeksa numurs
|
75130
|
|
30.2.5.
|
Ķīmiskā formula
|
C40H56
(β-karotīns)
|
|
30.2.6.
|
Molekulmasa
|
536,88 (β-karotīns)
|
|
|
|
|
30.2.7.
|
Pamatviela
|
Ne mazāk kā 20 % karotīnu
(aprēķinātu kā
β-karotīns).
= 2500 (pie
440-457 nm cikloheksāna šķīdumā)
|
|
30.2.8.
|
Identitātes pierādīšana
-spektrometrija
|
Absorbcijas maksimumi
cikloheksāna šķīdumā pie 440-457 nm un
474-486 nm
|
|
30.2.9.
|
Tīrības kritēriji:
|
|
|
30.2.9.1.
|
Dabiskie tokoferoli pārtikas
eļļā
|
Ne vairāk kā 0,3 %
|
|
30.2.9.2.
|
Svins
|
Ne vairāk kā 5 mg/kg
|
|
31.
|
E 160a (II)
- Beta-karotīns
|
|
31.1.
|
Beta-karotīns
|
|
|
31.1.1.
|
Sinonīmi
|
CI pārtikas oranžais 5 (CI
food orange 5)
|
|
31.1.2.
|
Definīcija
|
Nosaukums attiecas uz visiem
β-karotīna trans-izomēriem kopā ar nelieliem citu
karotinoīdu daudzumiem. Atšķaidītiem un stabilizētiem
preparātiem var būt dažādas cis/trans izomēru
attiecības
|
|
31.1.3.
|
Klase
|
Karotinoīds
|
|
31.1.4.
|
Krāsu indeksa numurs
|
40800
|
|
31.1.5.
|
EINECS numurs
|
230-636-6
|
|
31.1.6.
|
Ķīmiskais nosaukums
|
β-karotīns,
β,β-karotīns
|
|
31.1.7.
|
Ķīmiskā formula
|
C40H56
|
|
31.1.8.
|
Molekulmasa
|
536,88
|
|
31.1.9.
|
Pamatviela
|
Kopīgais krāsvielu saturs - ne
mazāk kā 96 %, aprēķināts kā β-karotīns
= 2500 (pie
440-457 nm cikloheksāna šķīdumā)
|
|
31.1.10.
|
Ārējais izskats
|
Sarkani līdz brūngani sarkani
kristāli vai kristālisks pulveris
|
|
31.1.11.
|
Identitātes pierādīšana
-spektrometrija
|
Absorbcijas maksimums
cikloheksāna šķīdumā pie 453-456 nm
|
|
31.1.12.
|
Tīrības kritēriji:
|
|
|
31.1.12.1.
|
Pelni (sulfātu veidā)
|
Ne vairāk kā 0,2 %
|
|
31.1.12.2.
|
Papildu krāsvielas
|
Citu karotinoīdu (izņemot
β-karotīnu) daudzums -
ne vairāk kā 3,0 % no visām krāsvielām
|
|
31.1.12.3.
|
Svins
|
Ne vairāk kā 2 mg/kg
|
|
31.2.
|
Beta-karotīns no
Blakeslea trispora
|
|
|
31.2.1.
|
Sinonīmi
|
CI pārtikas oranžais 5 (CI
food orange 5)
|
|
|
|
|
31.2.2.
|
Definīcija
|
Iegūst, fermentējot sēnes
Blakeslea trisporadivu dabisko celmu "+" un "-"
krustošanas tipu jauktu kultūru. Beta-karotīnu ekstrahē no
biomasas ar etilacetātu un kristalizē. Kristalizētais
produkts satur galvenokārt β-karotīna trans-izomēru.
Dabisko procesu dēļ aptuveni 3 % no produkta ir
jauktie karotinoīdi, kas ir specifiski šim produktam
|
|
31.2.3.
|
Klase
|
Karotinoīds
|
|
31.2.4.
|
Krāsu indeksa numurs
|
40800
|
|
31.2.5.
|
EINECS numurs
|
230-636-6
|
|
31.2.6.
|
Ķīmiskais nosaukums
|
β-karotīns, β,
β-karotīns
|
|
31.2.7.
|
Ķīmiskā formula
|
C40H56
|
|
31.2.8.
|
Molekulmasa
|
536,88
|
|
31.2.9.
|
Pamatviela
|
Kopīgais krāsvielu saturs - ne
mazāk kā 96 %, aprēķināts kā β-karotīns
= 2500 (pie
440-457 nm cikloheksāna šķīdumā)
|
|
31.2.10.
|
Ārējais izskats
|
Sarkani līdz brūngani sarkani
kristāli vai kristālisks pulveris
|
|
31.2.11.
|
Identitātes pierādīšana
-spektrometrija
|
Absorbcijas maksimums
cikloheksāna šķīdumā pie 453-456 nm
|
|
31.2.12.
|
Tīrības kritēriji:
|
|
|
31.2.12.1.
|
Šķīdinātāju atlikums:
etilacetāts, etanols
izobutilacetāts
izobutilspirts
|
Ne vairāk kā 0,8 %
(atsevišķi vai kopā)
ne vairāk kā 1,0 %
ne vairāk kā 0,1 %
|
|
31.2.12.2.
|
Pelni (sulfātu veidā)
|
Ne vairāk kā 0,2 %
|
|
31.2.12.3.
|
Papildu krāsvielas
|
Citu karotinoīdu (izņemot
β-karotīnu) daudzums - ne vairāk kā 3,0 % no
visām krāsvielām
|
|
31.2.12.4.
|
Svins
|
Ne vairāk kā 2 mg/kg
|
|
31.2.12.5.
|
Mikotoksīni:
Aflatoksīns B1
Trihotecens T2
Ohratoksīns
Zearalenons
|
Nav konstatējams
Nav konstatējams
Nav konstatējams
Nav konstatējams
|
|
31.2.12.6.
|
Mikrobioloģija:
Pelējuma sēnītes
Raugi
Salmonella
Escherichia
coli
|
KVV ne vairāk kā 100/g
KVV ne vairāk kā 100/g
KVV nav pieļaujamas 25 g
parauga
KVV nav pieļaujamas 5 g
parauga";
|
1.10. izteikt 5.pielikuma
80.punktu šādā redakcijā:
|
"80.
|
E 251 -
Nātrija nitrāts
|
|
80.1.
|
Cietais
nātrija nitrāts
|
|
|
80.1.1.
|
Sinonīmi
|
Čīles salpetris (Chile
saltpetre); kubiskais vai sodas salpetris (cubic or
soda nitre)
|
|
80.1.2.
|
Ķīmiskais nosaukums
|
Nātrija nitrāts
|
|
80.1.3.
|
EINECS numurs
|
231-554-3
|
|
80.1.4.
|
Ķīmiskā formula
|
NaNO3
|
|
80.1.5.
|
Molekulmasa
|
85,00
|
|
80.1.6.
|
Pamatviela
|
Ne mazāk kā 99 % pēc
žāvēšanas
|
|
80.1.7.
|
Ārējais izskats
|
Balts kristālisks, nedaudz
higroskopisks pulveris
|
|
80.1.8.
|
Identitātes pierādīšana:
|
|
|
80.1.8.1.
|
Pozitīvi nitrātu un nātrija
jonu testi
|
|
|
80.1.8.2.
|
pH
|
5,5-8,3 (5 % šķīdumā)
|
|
80.1.9.
|
Tīrības kritēriji:
|
|
|
80.1.9.1.
|
Zudumi pēc žāvēšanas
|
Ne vairāk kā 2 %
(105 oC, 4 h)
|
|
80.1.9.2.
|
Nitrīti
|
Ne vairāk kā 30 mg/kg,
aprēķināti kā NaNO2
|
|
80.1.9.3.
|
Arsēns
|
Ne vairāk kā 3 mg/kg
|
|
80.1.9.4.
|
Svins
|
Ne vairāk kā 5 mg/kg
|
|
80.1.9.5.
|
Dzīvsudrabs
|
Ne vairāk kā 1 mg/kg
|
|
80.2.
|
Šķidrais
nātrija nitrāts
|
|
|
80.2.1.
|
Definīcija
|
Šķidrais nātrija nitrāts ir
nātrija nitrāta ūdens šķīdums, kas radies ķīmiskā reakcijā
starp nātrija hidroksīdu un slāpekļskābi stehiometriskos
daudzumos, neveicot kristalizāciju pēc reakcijas.
Standartizētās formas, kas pagatavotas no šķidrā nātrija
nitrāta un atbilst noteiktajām prasībām, var saturēt
slāpekļskābes pārākumu, ja tas skaidri ir paziņots vai
norādīts marķējumā
|
|
80.2.2.
|
Ķīmiskais nosaukums
|
Nātrija nitrāts
|
|
80.2.3.
|
EINECS numurs
|
231-554-3
|
|
80.2.4.
|
Ķīmiskā formula
|
NaNO3
|
|
80.2.5.
|
Molekulmasa
|
85,00
|
|
80.2.6.
|
Pamatviela
|
33,5 %-40,0 %
|
|
80.2.7.
|
Ārējais izskats
|
Dzidrs bezkrāsains šķidrums
|
|
80.2.8.
|
Identitātes pierādīšana:
|
|
|
80.2.8.1.
|
Pozitīvi nitrātu un nātrija
jonu testi
|
|
|
80.2.8.2.
|
pH
|
1,5-3,5
|
|
80.2.9.
|
Tīrības kritēriji:
|
|
|
80.2.9.1.
|
Brīva slāpekļskābe
|
Ne vairāk kā 0,01 %
|
|
80.2.9.2.
|
Nitrīti
|
Ne vairāk kā 10 mg/kg,
aprēķināti kā NaNO2
|
|
80.2.9.3.
|
Arsēns
|
Ne vairāk kā 1 mg/kg
|
|
80.2.9.4.
|
Svins
|
Ne vairāk kā 1 mg/kg
|
|
80.2.9.5.
|
Dzīvsudrabs
|
Ne vairāk kā 0,3 mg/kg";
|
1.11. izteikt 5.pielikuma
160.6.13.apakšpunktu šādā redakcijā:
|
"160.6.13.
|
Nelielas molekulmasas
karagināns (molekulmasas daļa zem 50 kDa)
|
Ne vairāk kā 5 %";
|
1.12. izteikt 5.pielikuma
161.5.13.apakšpunktu šādā redakcijā:
|
"161.5.13.
|
Nelielas molekulmasas
karagināns (molekulmasas daļa zem 50 kDa)
|
Ne vairāk kā 5 %";
|
1.13. izteikt 5.pielikuma
176., 177., 178., 179., 180. un 181.punktu šādā redakcijā:
|
"176.
|
E 431 -
Polioksietilēna (40) stearāts
|
|
176.1.
|
Sinonīmi
|
Polioksila (40) stearāts
(polyoxyl (40) stearate); polioksietilēna
(40) monostearāts (polyoxyethylene (40)
monostearate)
|
|
176.2.
|
Definīcija
|
Polioksietilēna (40) stearāts
sastāv no pārtikas stearīnskābes mono- un diesteru
maisījuma un jauktiem polioksietilēna dioliem, kuru
vidējais polimēra garums ir apmēram 40 oksietilēna grupas.
Satur arī brīvu polispirtu
|
|
176.3.
|
Pamatviela
|
Ne mazāk kā 97,5 %
bezūdens vielā
|
|
176.4.
|
Ārējais izskats
|
25 oC
temperatūrā - krēmkrāsas pārslas vai vaskveida viela ar
vāju smaržu
|
|
176.5.
|
Identitātes pierādīšana:
|
|
|
176.5.1.
|
Šķīdība
|
Šķīst ūdenī, etanolā, metanolā
un etilacetātā, nešķīst minerāleļļā
|
|
176.5.2.
|
Sastingšanas temperatūra
|
39-44 °C
|
|
176.5.3.
|
Infrasarkanais spektrs
|
Raksturīgs polioksietilētu
poliolu daļējiem taukskābju esteriem
|
|
176.6.
|
Tīrības kritēriji:
|
|
|
176.6.1.
|
Ūdens
|
Ne vairāk kā 3 % (K.Fišera
metode)
|
|
176.6.2.
|
Skābes skaitlis
|
Ne vairāk kā 1
|
|
176.6.3.
|
Hidroksilskaitlis
|
Ne mazāk kā 27 un ne vairāk kā
40
|
|
176.6.4.
|
Pārziepošanas skaitlis
|
Ne mazāk kā 25 un ne vairāk kā
35
|
|
176.6.5.
|
1,4-Dioksāns
|
Ne vairāk kā 5 mg/kg
|
|
176.6.6.
|
Etilēnoksīds
|
Ne vairāk kā 0,2 mg/kg
|
|
176.6.7.
|
Etilēnglikoli (mono- un
di-)
|
Ne vairāk kā 0,25 %
|
|
176.6.8.
|
Arsēns
|
Ne vairāk kā 3 mg/kg
|
|
176.6.9.
|
Svins
|
Ne vairāk kā 5 mg/kg
|
|
176.6.10.
|
Dzīvsudrabs
|
Ne vairāk kā 1 mg/kg
|
|
176.6.11.
|
Kadmijs
|
Ne vairāk kā 1 mg/kg
|
|
177.
|
E 432 -
Polioksietilēna sorbitāna monolaurāts (polisorbāts 20)
|
|
177.1.
|
Sinonīmi
|
Polisorbāts 20
(polisorbate 20);
polioksietilēna (20) sorbitāna
monolaurāts (polyoxyethylene (20) sorbitan
monolaurate)
|
|
177.2.
|
Definīcija
|
Polioksietilēna (20) sorbitāna
monolaurāts ir sorbīta un tā mono- un dianhidrīdu daļēju
esteru ar pārtikas laurīnskābi maisījums, kas kondensēts ar
aptuveni 20 moliem etilēnoksīda uz molu sorbīta vai tā
anhidrīda
|
|
177.3.
|
Pamatviela
|
Ne mazāk kā 70 %
oksietilēngrupu, kas atbilst ne mazāk kā 97,3 %
polioksietilēna (20) sorbitāna monolaurāta, aprēķināta
bezūdens vielai
|
|
177.4.
|
Ārējais izskats
|
25 °C temperatūrā -
citrondzeltens līdz dzintarkrāsas eļļains šķidrums ar vāju
raksturīgu smaržu
|
|
177.5.
|
Identitātes pierādīšana:
|
|
|
177.5.1.
|
Šķīdība
|
Šķīst ūdenī, etanolā, metanolā,
etilacetātā un dioksānā, nešķīst minerāleļļā un
petrolēterī
|
|
177.5.2.
|
Infrasarkanais spektrs
|
Raksturīgs polioksietilētu
poliolu daļējiem taukskābju esteriem
|
|
177.6.
|
Tīrības kritēriji:
|
|
|
177.6.1.
|
Ūdens
|
Ne vairāk kā 3 % (K.Fišera
metode)
|
|
177.6.2.
|
Skābes skaitlis
|
Ne vairāk kā 2
|
|
177.6.3.
|
Hidroksilskaitlis
|
Ne mazāk kā 96 un ne vairāk kā
108
|
|
177.6.4.
|
Pārziepošanas skaitlis
|
Ne mazāk kā 40 un ne vairāk kā
50
|
|
177.6.5.
|
1,4-Dioksāns
|
Ne vairāk kā 5 mg/kg
|
|
177.6.6.
|
Etilēnoksīds
|
Ne vairāk kā 0,2 mg/kg
|
|
177.6.7.
|
Etilēnglikoli (mono- un
di-)
|
Ne vairāk kā 0,25 %
|
|
177.6.8.
|
Arsēns
|
Ne vairāk kā 3 mg/kg
|
|
177.6.9.
|
Svins
|
Ne vairāk kā 5 mg/kg
|
|
177.6.10.
|
Dzīvsudrabs
|
Ne vairāk kā 1 mg/kg
|
|
177.6.11.
|
Kadmijs
|
Ne vairāk kā 1 mg/kg
|
|
178.
|
E 433 -
Polioksietilēna sorbitāna monooleāts (polisorbāts 80)
|
|
178.1.
|
Sinonīmi
|
Polisorbāts 80
(polisorbate 80);
polioksietilēna (20) sorbitāna
monooleāts (polyoxyethylene (20) sorbitan
monooleate)
|
|
178.2.
|
Definīcija
|
Polioksietilēna (20) sorbitāna
monooleāts ir sorbīta un tā mono- un dianhidrīdu daļēju
esteru ar pārtikas oleīnskābi maisījums, kas kondensēts ar
aptuveni 20 moliem etilēnoksīda uz molu sorbīta vai tā
anhidrīda
|
|
178.3.
|
Pamatviela
|
Ne mazāk kā 65 %
oksietilēngrupu, kas atbilst ne mazāk kā 96,5 %
polioksietilēna (20) sorbitāna monooleāta, aprēķināta
bezūdens vielai
|
|
178.4.
|
Ārējais izskats
|
25 °C temperatūrā -
citrondzeltens līdz dzintarkrāsas eļļains šķidrums ar vāju
raksturīgu smaržu
|
|
178.5.
|
Identitātes pierādīšana:
|
|
|
178.5.1.
|
Šķīdība
|
Šķīst ūdenī, etanolā, metanolā,
etilacetātā un toluolā, nešķīst minerāleļļā un
petrolēterī
|
|
178.5.2.
|
Infrasarkanais spektrs
|
Raksturīgs polioksietilētu
poliolu daļējiem taukskābju esteriem
|
|
178.6.
|
Tīrības kritēriji:
|
|
|
178.6.1.
|
Ūdens
|
Ne vairāk kā 3 % (K.Fišera
metode)
|
|
178.6.2.
|
Skābes skaitlis
|
Ne vairāk kā 2
|
|
178.6.3.
|
Hidroksilskaitlis
|
Ne mazāk kā 65 un ne vairāk kā
80
|
|
178.6.4.
|
Pārziepošanas skaitlis
|
Ne mazāk kā 45 un ne vairāk kā
55
|
|
178.6.5.
|
1,4-Dioksāns
|
Ne vairāk kā 5 mg/kg
|
|
178.6.6.
|
Etilēnoksīds
|
Ne vairāk kā 0,2 mg/kg
|
|
178.6.7.
|
Etilēnglikoli (mono- un
di-)
|
Ne vairāk kā 0,25 %
|
|
178.6.8.
|
Arsēns
|
Ne vairāk kā 3 mg/kg
|
|
178.6.9.
|
Svins
|
Ne vairāk kā 5 mg/kg
|
|
178.6.10.
|
Dzīvsudrabs
|
Ne vairāk kā 1 mg/kg
|
|
178.6.11.
|
Kadmijs
|
Ne vairāk kā 1 mg/kg
|
|
179.
|
E 434 -
Polioksietilēna sorbitāna monopalmitāts (polisorbāts
40)
|
|
179.1.
|
Sinonīmi
|
Polisorbāts 40
(polysorbate 40);
polioksietilēna (20) sorbitāna
monopalmitāts (polyoxyethylene (20) sorbitan
monopalmitate)
|
|
179.2.
|
Definīcija
|
Polioksietilēna (20) sorbitāna
monopalmitāts ir sorbīta un tā mono- un dianhidrīdu daļēju
esteru ar pārtikas palmitīnskābi maisījums, kas kondensēts
ar aptuveni 20 moliem etilēnoksīda uz molu sorbīta vai
tā anhidrīda
|
|
179.3.
|
Pamatviela
|
Ne mazāk kā 66 %
oksietilēngrupu, kas atbilst ne mazāk kā 97 %
polioksietilēna (20) sorbitāna monopalmitāta, aprēķināta
bezūdens vielai
|
|
179.4.
|
Ārējais izskats
|
25 °C temperatūrā -
citrondzeltens līdz oranžs eļļains šķidrums vai gels ar
vāju raksturīgu smaržu
|
|
179.5.
|
Identitātes pierādīšana:
|
|
|
179.5.1.
|
Šķīdība
|
Šķīst ūdenī, etanolā, metanolā,
etilacetātā un acetonā, nešķīst minerāleļļā
|
|
179.5.2.
|
Infrasarkanais spektrs
|
Raksturīgs polioksietilētu
poliolu daļējiem taukskābju esteriem
|
|
179.6.
|
Tīrības kritēriji:
|
|
|
179.6.1.
|
Ūdens
|
Ne vairāk kā 3 % (K.Fišera
metode)
|
|
179.6.2.
|
Skābes skaitlis
|
Ne vairāk kā 2
|
|
179.6.3.
|
Hidroksilskaitlis
|
Ne mazāk kā 90 un ne vairāk kā
107
|
|
179.6.4.
|
Pārziepošanas skaitlis
|
Ne mazāk kā 41 un ne vairāk kā
52
|
|
179.6.5.
|
1,4-Dioksāns
|
Ne vairāk kā 5 mg/kg
|
|
179.6.6.
|
Etilēnoksīds
|
Ne vairāk kā 0,2 mg/kg
|
|
179.6.7.
|
Etilēnglikoli (mono- un
di-)
|
Ne vairāk kā 0,25 %
|
|
179.6.8.
|
Arsēns
|
Ne vairāk kā 3 mg/kg
|
|
179.6.9.
|
Svins
|
Ne vairāk kā 5 mg/kg
|
|
179.6.10.
|
Dzīvsudrabs
|
Ne vairāk kā 1 mg/kg
|
|
179.6.11.
|
Kadmijs
|
Ne vairāk kā 1 mg/kg
|
|
180.
|
E 435 -
Polioksietilēna sorbitāna monostearāts (polisorbāts 60)
|
|
180.1.
|
Sinonīmi
|
Polisorbāts 60
(polisorbate 60);
polioksietilēna (20) sorbitāna
monostearāts (polyoxyethylene (20) sorbitan
monostearate)
|
|
180.2.
|
Definīcija
|
Polioksietilēna (20) sorbitāna
monostearāts ir sorbīta un tā mono- un dianhidrīdu daļēju
esteru ar pārtikas stearīnskābi maisījums, kas kondensēts
ar aptuveni 20 moliem etilēnoksīda uz molu sorbīta vai tā
anhidrīda
|
|
180.3.
|
Pamatviela
|
Ne mazāk kā 65 %
oksietilēngrupu, kas atbilst ne mazāk kā 97 %
polioksietilēna (20) sorbitāna monostearāta, aprēķināta
bezūdens vielai
|
|
180.4.
|
Ārējais izskats
|
25 °C temperatūrā -
citrondzeltens līdz oranžs eļļains šķidrums vai gels ar
vāju raksturīgu smaržu
|
|
180.5.
|
Identitātes pierādīšana:
|
|
|
180.5.1.
|
Šķīdība
|
Šķīst ūdenī, etilacetātā un
toluolā, nešķīst minerāleļļā un augu eļļās
|
|
180.5.2.
|
Infrasarkanais spektrs
|
Raksturīgs polioksietilētu
poliolu daļējiem taukskābju esteriem
|
|
180.6.
|
Tīrības kritēriji:
|
|
|
180.6.1.
|
Ūdens
|
Ne vairāk kā 3 % (K.Fišera
metode)
|
|
180.6.2.
|
Skābes skaitlis
|
Ne vairāk kā 2
|
|
180.6.3.
|
Hidroksilskaitlis
|
Ne mazāk kā 81 un ne vairāk kā
96
|
|
180.6.4.
|
Pārziepošanas skaitlis
|
Ne mazāk kā 45 un ne vairāk kā
55
|
|
180.6.5.
|
1,4-Dioksāns
|
Ne vairāk kā 5 mg/kg
|
|
180.6.6.
|
Etilēnoksīds
|
Ne vairāk kā 0,2 mg/kg
|
|
180.6.7.
|
Etilēnglikoli (mono- un
di-)
|
Ne vairāk kā 0,25 %
|
|
180.6.8.
|
Arsēns
|
Ne vairāk kā 3 mg/kg
|
|
180.6.9.
|
Svins
|
Ne vairāk kā 5 mg/kg
|
|
180.6.10.
|
Dzīvsudrabs
|
Ne vairāk kā 1 mg/kg
|
|
180.6.11.
|
Kadmijs
|
Ne vairāk kā 1 mg/kg
|
|
181.
|
E 436 -
Polioksietilēna sorbitāna tristearāts (polisorbāts 65)
|
|
181.1.
|
Sinonīmi
|
Polisorbāts 65 (polisorbate
65);
polioksietilēna (20) sorbitāna
tristearāts (polyoxyethylene (20) sorbitan
tristearate)
|
|
181.2.
|
Definīcija
|
Polioksietilēna (20) sorbitāna
tristearāts ir sorbīta un tā mono- un dianhidrīdu daļēju
esteru ar pārtikas stearīnskābi maisījums, kas kondensēts
ar aptuveni 20 moliem etilēnoksīda uz molu sorbīta vai tā
anhidrīda
|
|
181.3.
|
Pamatviela
|
Ne mazāk kā 46 %
oksietilēngrupu, kas atbilst ne mazāk kā 96 %
polioksietilēna (20) sorbitāna tristearāta, aprēķināta
bezūdens vielai
|
|
181.4.
|
Ārējais izskats
|
25 °C temperatūrā -
dzeltenbrūna vaskveida viela ar vāju raksturīgu smaržu
|
|
181.5.
|
Identitātes pierādīšana:
|
|
|
181.5.1.
|
Šķīdība
|
Disperģējams ūdenī, šķīst
minerāleļļā, augu eļļās, petrolēterī, acetonā, dietilēterī,
dioksānā, etanolā un metanolā
|
|
181.5.2.
|
Infrasarkanais spektrs
|
Raksturīgs polioksietilētu
poliolu daļējiem taukskābju esteriem
|
|
181.5.3.
|
Sastingšanas temperatūra
|
29-33 oC
|
|
181.6.
|
Tīrības kritēriji:
|
|
|
181.6.1.
|
Ūdens
|
Ne vairāk kā 3 % (K.Fišera
metode)
|
|
181.6.2.
|
Skābes skaitlis
|
Ne vairāk kā 2
|
|
181.6.3.
|
Hidroksilskaitlis
|
Ne mazāk kā 40 un ne vairāk kā
60
|
|
181.6.4.
|
Pārziepošanas skaitlis
|
Ne mazāk kā 88 un ne vairāk kā
98
|
|
181.6.5.
|
1,4-Dioksāns
|
Ne vairāk kā 5 mg/kg
|
|
181.6.6.
|
Etilēnoksīds
|
Ne vairāk kā 0,2 mg/kg
|
|
181.6.7.
|
Etilēnglikoli (mono- un
di-)
|
Ne vairāk kā 0,25 %
|
|
181.6.8.
|
Arsēns
|
Ne vairāk kā 3 mg/kg
|
|
181.6.9.
|
Svins
|
Ne vairāk kā 5 mg/kg
|
|
181.6.10.
|
Dzīvsudrabs
|
Ne vairāk kā 1 mg/kg
|
|
181.6.11.
|
Kadmijs
|
Ne vairāk kā 1 mg/kg";
|
|
|
|
1.14. izteikt 5.pielikuma
199.1.apakšpunktu šādā redakcijā:
|
"199.1.
|
Definīcija un iegūšanas
apraksts
|
β-ciklodekstrīns ir
nereducējošs ciklisks saharīds, kas sastāv no septiņām
D-glukopiranozilgrupām, kas savienotas ar
α-1,4-saitēm. Produkts tiek ražots, iedarbojoties uz
daļēji hidrolizētu cieti ar cikloglikoziltransferāzi
(CGTāzi), kura iegūta no Bacillus circulans,
Paenibacillis macerans vai rekombinantā Bacillus
licheniformis strain SJ1608";
|
1.15. papildināt 5.pielikumu ar
304.2 punktu šādā redakcijā:
|
"304.2
|
E 907 -
Hidrogenēts poli-1-decēns
|
|
304.2 1.
|
Sinonīmi
|
Hidrogenēts polidec-1-ēns,
hidrogenēts poli-alfa-olefīns
|
|
304.2 2.
|
Ķīmiskā formula
|
C10nH20n+2 , kur n = 3-6
|
|
304.2 3.
|
Molekulmasa
|
560 (vidēji)
|
|
304.2 4.
|
Pamatviela
|
Ne mazāk kā 98,5 % ar šādu
oligomēru sadalījumu:
C30:
13-37 %
C40:
35-70 %
C50: 9-25 %
C60: 1-7 %
|
|
304.2 5.
|
Ārējais izskats
|
Bezkrāsains, viskozs šķidrums
bez smaržas
|
|
304.2 6.
|
Identitātes pierādīšana:
|
|
|
304.2 6.1.
|
Šķīdība
|
Nešķīst ūdenī, vāji šķīst
etanolā, šķīst toluolā
|
|
304.2 6.2.
|
Degšana
|
Deg ar spilgtu liesmu un
parafīnam raksturīgu smaržu
|
|
304.2 7.
|
Tīrības kritēriji:
|
|
|
304.2 7.1.
|
Viskozitāte
|
5,7x10-6-6,1x10-6
m2s-1 100 °C temperatūrā
|
|
304.2 7.2.
|
Savienojumi ar oglekļa atomu
skaitu, mazāku par 30
|
Ne vairāk kā 1,5 %
|
|
304.2 7.3.
|
Viegli karbonizējamas
vielas
|
Pēc 10 minūšu kratīšanas
verdošā ūdens vannā mēģene ar sērskābi un 5 g parauga
neiekrāsojas tumšāka par viegli dzeltenu salmu krāsu
|
|
304.2 7.4.
|
Niķelis
|
Ne vairāk kā 1 mg/kg
|
|
304.2 7.5.
|
Svins
|
Ne vairāk kā 1 mg/kg";
|
1.16. papildināt 5.pielikumu ar
321.1 punktu šādā redakcijā:
|
"321.1
|
E 955 -
Sukraloze
|
|
321.1 1.
|
Sinonīmi
|
4,
1',6'-trihlorgalaktosaharoze
|
|
321.1 2.
|
Ķīmiskais nosaukums
|
1,6-dihlor-1,6-dideoksi-β-D-fruktofuranozil-4-hlor-4-deoksi-α-D-galaktopiranozīds
|
|
321.1 3.
|
EINECS numurs
|
259-952-2
|
|
321.1 4.
|
Ķīmiskā formula
|
C12H19Cl3O8
|
|
321.1 5.
|
Molekulmasa
|
397,64
|
|
321.1 6.
|
Pamatviela
|
Ne mazāk kā 98 % un ne
vairāk kā 102 % bezūdens vielā
|
|
321.1 7.
|
Ārējais izskats
|
Balts līdz dzeltenbalts
kristālisks pulveris bez smaržas
|
|
321.1 8.
|
Identitātes pierādīšana:
|
|
|
321.1 8.1.
|
pH
|
5,0-7,0 (10 % šķīdums)
|
|
321.1 8.2.
|
Šķīdība
|
Labi šķīst ūdenī, metanolā un
etanolā, nedaudz šķīst etilacetātā
|
|
321.1 8.3.
|
Infrasarkanā absorbcija
|
Kālija bromīdā disperģēta
parauga infrasarkanais spektrs uzrāda relatīvos maksimumus
tādos pašos viļņu skaitļos kā standarta spektrs, kas
iegūts, izmantojot sukralozes standartparaugu
|
|
321.1 8.4.
|
Plānslāņa hromatogrāfija
|
Testa šķīduma galvenajam
plankumam ir tāds pats Rf lielums kā citu hlorētu
disaharīdu testā minētajam A standartšķīduma
galvenajam plankumam. Šo standartšķīdumu iegūst, izšķīdinot
1,0 g sukralozes standartvielas 10 ml metilspirta
|
|
321.1 8.5.
|
Īpatnējais optiskās griešanās
leņķis
|
[α]20D = (+84,00) -
(+87,50), rēķinot bezūdens vielai (10 % w/v
šķīdums)
|
|
321.1 9.
|
Tīrības kritēriji:
|
|
|
321.1 9.1.
|
Ūdens
|
Ne vairāk kā 2,0 %
(K.Fišera metode)
|
|
321.1 9.2.
|
Pelni sulfātu veidā
|
Ne vairāk kā 0,7 %
|
|
321.1 9.3.
|
Citi hlorēti disaharīdi
|
Ne vairāk kā 0,5 %
|
|
321.1 9.4.
|
Hlorēti monosaharīdi
|
Ne vairāk kā 0,1 %
|
|
321.1 9.5.
|
Trifenilfosfīna oksīds
|
Ne vairāk kā 150 mg/kg
|
|
321.1 9.6.
|
Metanols
|
Ne vairāk kā 0,1 %
|
|
321.1 9.7.
|
Svins
|
Ne vairāk kā 1 mg/kg";
|
1.17. papildināt 5.pielikumu ar
323.1 punktu šādā redakcijā:
|
"323.1
|
E 962 -
Aspartāma-acesulfāma sāls 1
|
|
323.1 1.
|
Sinonīmi
|
Aspartāms-acesulfāms 1
|
|
323.1 2.
|
Definīcija
|
Sāli pagatavo, sildot aspartāmu
un kālija acesulfāmu attiecībā aptuveni 2:1 (w/w) šķīdumā
ar skābu pH un ļaujot kristalizēties. Kāliju un mitrumu
aizvada. Produkts ir stabilāks nekā aspartāms
|
|
323.1 3.
|
Ķīmiskais nosaukums
|
L-fenilalanil-2-metil-L-α-asparaginskābes
6-metil-1,2,3-oksatiazīn-4(3H)-on-2,2-dioksīda sāls
|
|
323.1 4.
|
Ķīmiskā formula
|
C18H23O9N3S
|
|
323.1 5.
|
Molekulmasa
|
457,46
|
|
323.1 6.
|
Pamatviela
|
63,0 % līdz 66,0 %
aspartāma (rēķinot uz sausu vielu) un 34,0 % līdz
37,0 % acesulfāma (skābā forma, rēķinot uz sausu
vielu)
|
|
323.1 7.
|
Ārējais izskats
|
Balts kristālisks pulveris bez
smaržas
|
|
323.1 8.
|
Identitātes pierādīšana:
|
|
|
323.1 8.1.
|
Šķīdība
|
Šķīst ūdenī ierobežotā
daudzumā; nedaudz šķīst etanolā
|
|
323.1 8.2.
|
Gaismas caurlaidība
|
1 % šķīduma ūdenī gaismas
caurlaidība, noteikta 1 cm šūnā pie 430 nm,
izmantojot piemērotu spektrofotometru, salīdzināšanai
izmantojot ūdeni, nav mazāka par 0,95, kas ir līdzvērtīga
absorbcijai, ne lielākai par aptuveni 0,022
|
|
323.1 8.3.
|
Īpatnējais optiskās griešanās
leņķis
|
[α]20D =
(+14,50) - (+16,50) Noteikt
koncentrācijā 6,2 g 100 mililitros 15 N
skudrskābes 30 minūšu laikā pēc šķīduma pagatavošanas.
Aprēķināto īpatnējo optisko griešanās leņķi dalīt ar 0,646,
lai koriģētu atbilstoši aspartāma saturam
aspartāma-acesulfāma sālī
|
|
323.1 9.
|
Tīrības kritēriji:
|
|
|
323.1 9.1.
|
Zudumi pēc žāvēšanas
|
Ne vairāk kā 0,5 % (105
oC, 4h)
|
|
323.1 9.2.
|
5-Benzil-3,6-diokso-2-piperazīnetiķskābe
|
Ne vairāk kā 0,5 %
|
|
323.1 9.3.
|
Svins
|
Ne vairāk kā 1 mg/kg";
|
1.18. papildināt 5.pielikumu ar
345.1 punktu šādā redakcijā:
|
"345.1
|
E 1517 -
Glicerildiacetāts
|
|
345.1 1.
|
Sinonīmi
|
Diacetīns
|
|
345.1 2.
|
Definīcija
|
Glicerildiacetāts galvenokārt
sastāv no glicerīna 1,2- un 1,3-diacetātu maisījuma ar
nelielu mono- un triesteru daudzumu
|
|
345.1 3.
|
Ķīmiskais nosaukums
|
Glicerildiacetāts,
1,2,3-propāntriola diacetāts
|
|
345.1 4.
|
Ķīmiskā formula
|
C7H12O5
|
|
345.1 5.
|
Molekulmasa
|
176,17
|
|
345.1 6.
|
Pamatviela
|
Ne mazāk kā 94,0 %
|
|
345.1 7.
|
Ārējais izskats
|
Dzidrs, bezkrāsains,
higroskopisks diezgan eļļains šķidrums ar vieglu tauku
smaržu
|
|
345.1 8.
|
Identitātes pierādīšana:
|
|
|
345.1 8.1.
|
Šķīdība
|
Šķīst ūdenī. Samaisāms ar
etanolu
|
|
345.1 8.2.
|
Pozitīvi glicerīna un acetāta
testi
|
|
|
345.1 8.3.
|
Īpatnējā masa
|
d2020: =
1,175-1,195
|
|
345.1 8.4.
|
Vārīšanās temperatūra
|
259-261 °C
|
|
345.1 9.
|
Tīrības kritēriji:
|
|
|
345.1 9.1.
|
Kopējais pelnu saturs
|
Ne vairāk kā 0,02 %
|
|
345.1 9.2.
|
Skābums
|
Ne vairāk kā 0,4 % ,
aprēķināts kā etiķskābe
|
|
345.1 9.3.
|
Arsēns
|
Ne vairāk kā 3 mg/kg
|
|
345.1 9.4.
|
Svins
|
Ne vairāk kā 5 mg/kg";
|
1.19. papildināt 5.pielikumu ar
346.1 punktu šādā redakcijā:
|
"346.1
|
E 1519 -
Benzilspirts
|
|
346.1 1.
|
Sinonīmi
|
Fenilkarbinols,
fenilmetilspirts, benzenemetanols, alfahidroksiltoluols
|
|
346.1 2.
|
Ķīmiskais nosaukums
|
Benzilspirts, fenilmetanols
|
|
346.1 3.
|
Ķīmiskā formula
|
C7H8O
|
|
346.1 4.
|
Molekulmasa
|
108,14
|
|
346.1 5.
|
Pamatviela
|
Ne mazāk kā 98,0 %
|
|
346.1 6.
|
Ārējais izskats
|
Bezkrāsains, dzidrs šķidrums ar
vāju aromātisku smaržu
|
|
346.1 7.
|
Identitātes pierādīšana:
|
|
|
346.1 7.1.
|
Šķīdība
|
Nešķīst ūdenī, etanolā un
ēterī
|
|
346.1 7.2.
|
Refrakcijas koeficients
|
[n]D20 = : l,
538-1,541
|
|
346.1 7.3.
|
Īpatnējā masa
|
d2525: =
1,042-1,047
|
|
346.1 7.4.
|
Pozitīvs peroksīdu tests
|
|
|
346.1 8.
|
Tīrības kritēriji:
|
|
|
346.1 8.1.
|
Destilācijas diapazons
|
Ne mazāk kā 95 % v/v
destilējas 202 līdz 208 °C temperatūrā
|
|
346.1 8.2.
|
Skābes skaitlis
|
Ne vairāk kā 0,5
|
|
346.1 8.3.
|
Aldehīdi
|
Ne vairāk kā 0,2 % v/v,
aprēķināti kā benzaldehīdi
|
|
346.1 8.4.
|
Svins
|
Ne vairāk kā 5 mg/kg";
|
1.20. izteikt 5.pielikuma
348.8.1.apakšpunktu šādā redakcijā:
|
"348.8.1.
|
Viskozitāte
|
0,220-0,275
kgm-1s-1 20 °C temperatūrā";
|
1.21. izteikt 5.pielikuma
348.8.4.apakšpunktu šādā redakcijā:
|
"348.8.4.
|
Etilēnoksīds
|
Ne vairāk kā 0,2 mg/kg";
|
1.22. papildināt 6.pielikumu:
1.22.1. aiz vārdiem un
skaitļiem:
|
"E 905
|
Mikrokristāliskais vasks
|
Microcrystalline wax
|
dažādas"
|
ar vārdiem un skaitļiem šādā
redakcijā:
|
"E 907
|
Hidrogenēts poli-1-decēns
|
Hydrogenated poly-1-decene
|
dažādas";
|
1.22.2. aiz vārdiem un
skaitļiem:
|
"E 1505
|
Trietilcitrāts
|
Triethyl
citrate
|
dažādas"
|
ar vārdiem un skaitļiem šādā
redakcijā:
|
"E 1517
|
Glicerildiacetāts
|
Glyceryl
diacetate
|
dažādas";
|
1.22.3. aiz vārdiem un
skaitļiem:
|
"E 1518
|
Gliceriltriacetāts
|
Glyceryl
triacetate
|
dažādas"
|
ar vārdiem un skaitļiem šādā
redakcijā:
|
"E 1519
|
Benzilspirts
|
Benzyl
alcohol
|
dažādas";
|
1.23. papildināt 7.pielikumu:
1.23.1. aiz vārdiem un
skaitļiem:
|
"E 558
|
Bentonīts
|
Bentonite
|
dažādas"
|
ar vārdiem un skaitļiem šādā
redakcijā:
|
"E 1519
|
Benzilspirts
|
Benzyl
alcohol
|
dažādas";
|
1.23.2. aiz vārdiem un
skaitļiem:
|
"E 308
|
Gamma-tokoferols
|
Gamma-tocopherol
|
dažādas"
|
ar vārdiem un skaitļiem šādā
redakcijā:
|
"E 1517
|
Glicerildiacetāts
|
Glyceryl
diacetate
|
dažādas";
|
1.23.3. aiz vārdiem un
skaitļiem
|
"E 939
|
Hēlijs
|
Helium
|
dažādas"
|
ar vārdiem un skaitļiem šādā
redakcijā:
|
"E 907
|
Hidrogenēts
poli-1-decēns
|
Hydrogenated poly-1-decene
|
dažādas".
|
2. Produktus, kas izlaisti
tirgū vai marķēti pirms šo noteikumu spēkā stāšanās un kas
neatbilst šo noteikumu 1.10.apakšpunktā minētā 5.pielikuma
80.punktā, 1.13.apakšpunktā minētā 5.pielikuma 176.6.6.,
177.6.6., 178.6.6., 179.6.6., 180.6.6. un 181.6.6.apakšpunktā,
1.14.apakšpunktā minētā 5.pielikuma 199.1.apakšpunktā,
1.20.apakšpunktā minētā 5.pielikuma 348.8.1.apakšpunktā un
1.21.apakšpunktā minētā 5.pielikuma 348.8.4.apakšpunktā
noteiktajām prasībām, izplata, līdz beidzas krājumi.
3. Šo noteikumu 1.9., 1.11.,
1.12., 1.15., 1.16., 1.17., 1.18. un 1.19.apakšpunkts stājas
spēkā ar 2005.gada 1.aprīli. Produktus, kas izlaisti tirgū vai
marķēti pirms 2005.gada 1.aprīļa un kas neatbilst minētajos
apakšpunktos noteiktajām prasībām, izplata, līdz beidzas
krājumi.
Ministru
prezidents A.Kalvītis
Veselības ministrs G.Bērziņš
Redakcijas
piebilde: noteikumi stājas spēkā ar 2005.gada 12.martu.
1.pielikums
Ministru kabineta
2005.gada 22.februāra noteikumiem
Nr.148
"1.pielikums
Ministru kabineta
2001.gada 27.februāra noteikumiem
Nr.86
Pārtikas
produkti, kuros atļauts lietot pārtikas piedevas, un pārtikas
piedevu maksimālās devas
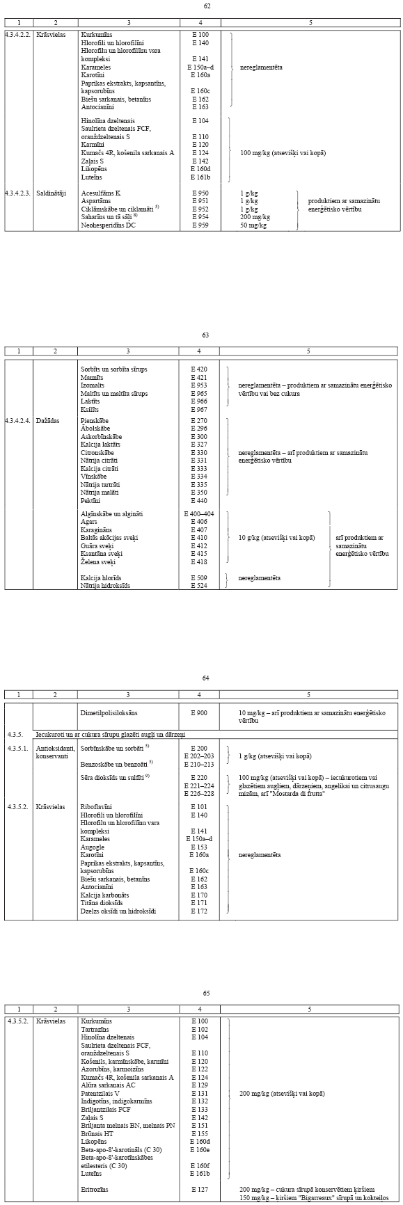
Piezīmes:
1. Maksimālā deva - pārtikas
piedevas lielākais pieļaujamais daudzums pārtikā, izņemot:
1.1. gaļas produktus, kur
nitrātiem (E 251 un E 252) un nitrītiem (E 249 un
E 250) ir norādīts gan atļautais pievienotais daudzums, gan
atlikums gatavā produktā;
1.2. dzērienus, kur
dimetildikarbonātam (E 242) ir norādīts atļautais pievienotais
daudzums;
1.3. visus produktus, kuriem
ir pievienota fosforskābe un fosfāti (E 338-341, E 343
un E 450-452) un norādīts to atļautais pievienotais
daudzums.
2. Nereglamentēta deva -
pārtikas piedevas daudzums nav reglamentēts, un atbilstoši labas
ražošanas praksei pārtikas piedevu lieto ne vairāk, kā
nepieciešams paredzēto mērķu sasniegšanai (ar nosacījumu, ka
patērētājs netiek maldināts).
3. Pārtikas piedevu maksimālās
devas ir noteiktas:
3.1. pārtikā, kuru izplata
tirdzniecībā;
3.2. patēriņam gatavā
pārtikā, kas pagatavojama atbilstoši lietošanas instrukcijai,
šādām pārtikas piedevu grupām:
3.2.1. pārtikas piedevām, kuras
pievieno zīdaiņu un mazu bērnu pārtikai;
3.2.2. krāsvielām;
3.2.3. saldinātājiem;
3.2.4. dažādām pārtikas
piedevām: E 200-219, 297, 353-363, 385, 405, 416, 420-421, 425,
431-436, 442-445, 468, 473-495, 512, 520-523, 535-556, 559,
579-635, 900-927b, 950, 951, 953, 957, 959, 965-967, 999, 1201,
1202, 1505, 1518.
4. Maksimālās devas alumīnija
sulfātiem noteiktas, rēķinot pēc alumīnija satura produktā.
5. Maksimālās devas skābēm un
to sāļiem (adipinātiem, askorbātiem, benzoātiem, ciklamātiem,
eritorbātiem, p-hidroksibenzoātiem, propionātiem un sorbātiem)
noteiktas, rēķinot pēc skābes satura produktā.
6. Maksimālās devas
fosforskābei un fosfātiem noteiktas, rēķinot pēc
P2O5 satura produktā.
7. Maksimālās devas
guanilskābei, guanilātiem, inozīnskābei, inozinātiem un
ribonukleotīdiem noteiktas, rēķinot pēc guanilskābes satura
produktā.
8. Maksimālās devas saharīnam
un tā sāļiem noteiktas, rēķinot pēc saharīna satura produktā.
9. Maksimālās devas sēra
dioksīdam un sulfītiem noteiktas, rēķinot pēc kopējā
SO2 satura produktā. Sēra dioksīdu uzskata par klāt
neesošu, ja tā daudzums ir mazāks par 10 mg/kg.
10. Maksimālā deva acesulfāma - aspartāma sālim 1
noteikta, rēķinot pēc acesulfāma K (a) vai aspartāma (b) satura
sālī. Izmantojot acesulfāma - aspartāma sāli 1, nedrīkst
pārsniegt acesulfāma K un aspartāma maksimālo devu attiecīgajā
pārtikas produktā.























































